Figure 5
From: Exact Gaussian processes for massive datasets via non-stationary sparsity-discovering kernels

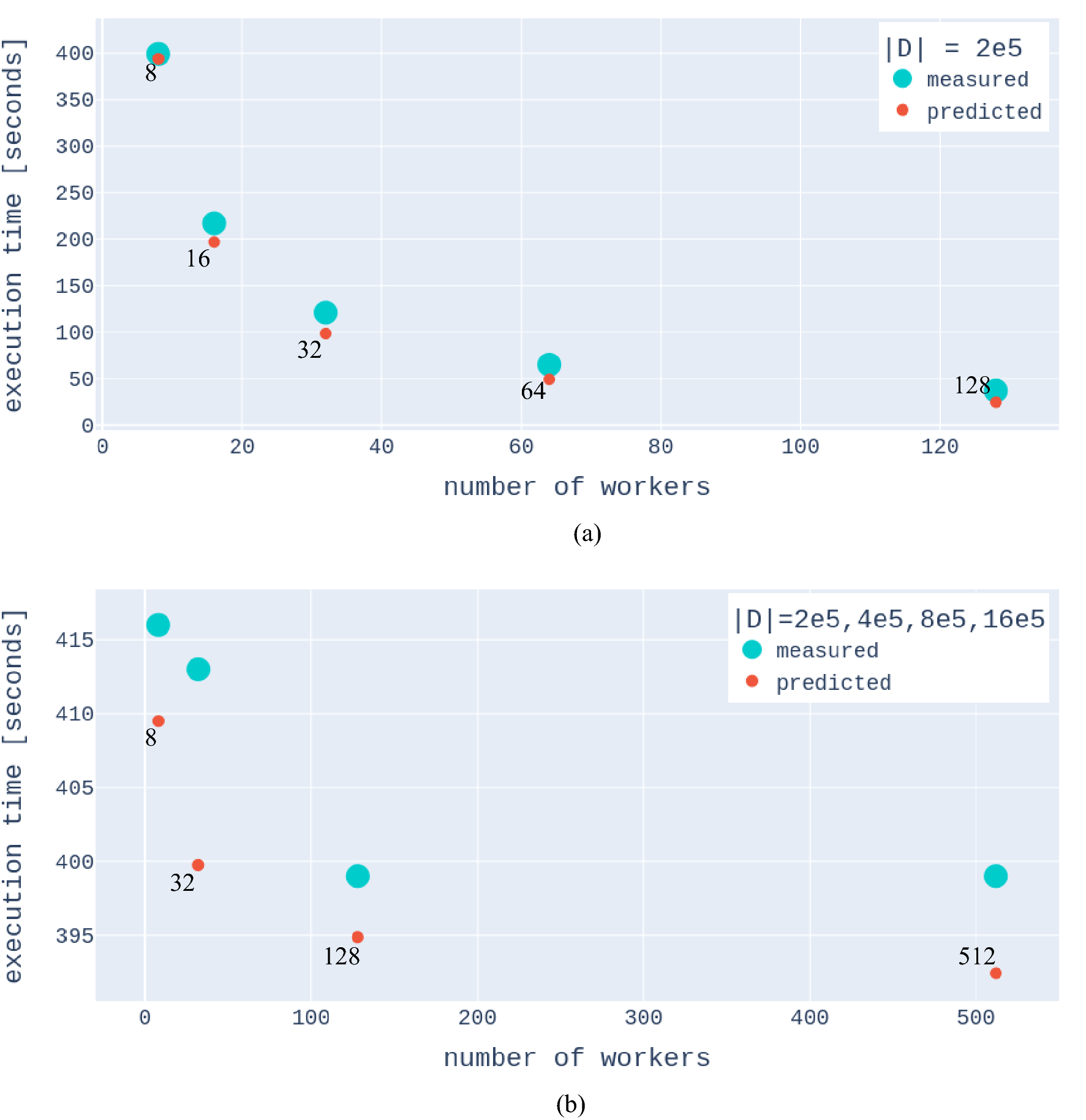
Figure illustrating theoretical and measured strong and weak scaling of the distributed covariance computation. (a) The computation time of a problem of fixed size as a function of the number of workers. (b) Computation time as a function of the number of workers while the problem dataset size is increased (from the left 2e5, 4e5, 8e5, 16e5, also see label). The figures suggest that there is a strong case to be made for the favorable scalability of exact Gaussian processes. The exact number of workers in each run is indicated as numbers adjacent to the dots.