Figure 2

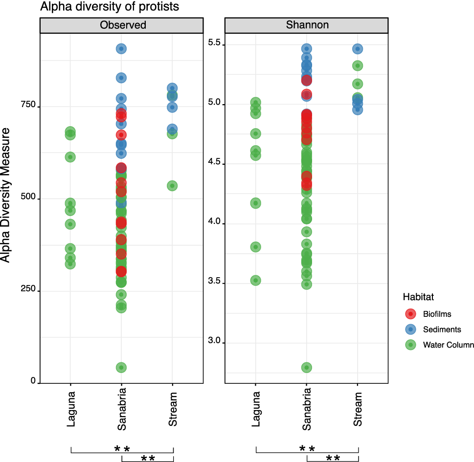
Alpha diversity of protists across the sampling sites. Each dot represents a sample and the colour code indicates the habitat of origin. Significant differences between pairs are indicated by double asterisks (p-value ≤ 0.01**).

Alpha diversity of protists across the sampling sites. Each dot represents a sample and the colour code indicates the habitat of origin. Significant differences between pairs are indicated by double asterisks (p-value ≤ 0.01**).