Figure 6
From: Impact of activation energy and variable properties on peristaltic flow through porous wall channel

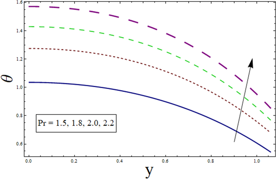
Temperature presentation of \(Pr\).
From: Impact of activation energy and variable properties on peristaltic flow through porous wall channel

Temperature presentation of \(Pr\).