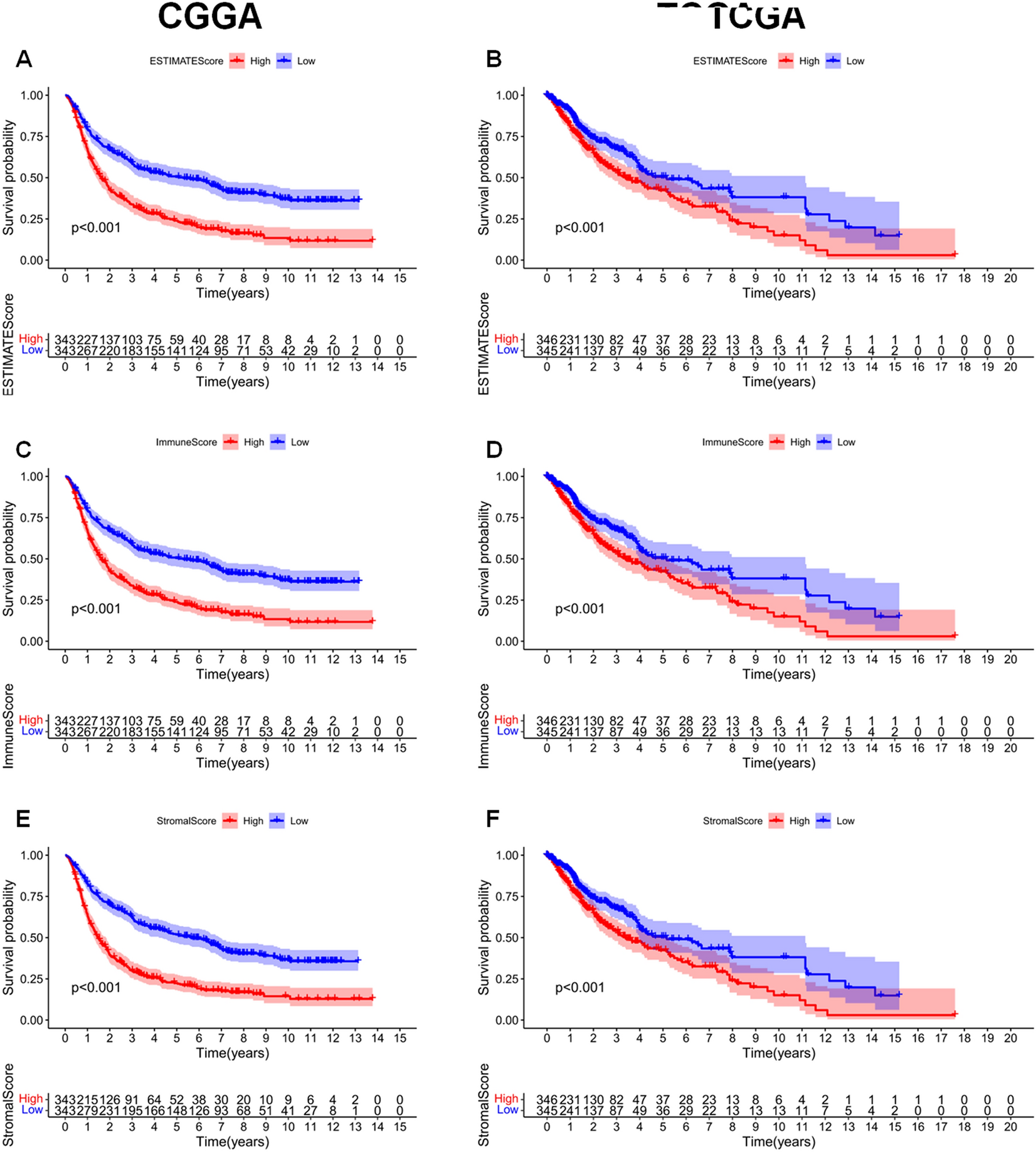
Figure 6

Kaplan–Meier survival curves of ESTIMATEScore, ImmuneScore, and StromalScore. High levels of (A,B) ESTIMATEScore, (C,D) ImmuneScore, and (E,F) StromalScore correlated with poor prognosis.

Kaplan–Meier survival curves of ESTIMATEScore, ImmuneScore, and StromalScore. High levels of (A,B) ESTIMATEScore, (C,D) ImmuneScore, and (E,F) StromalScore correlated with poor prognosis.