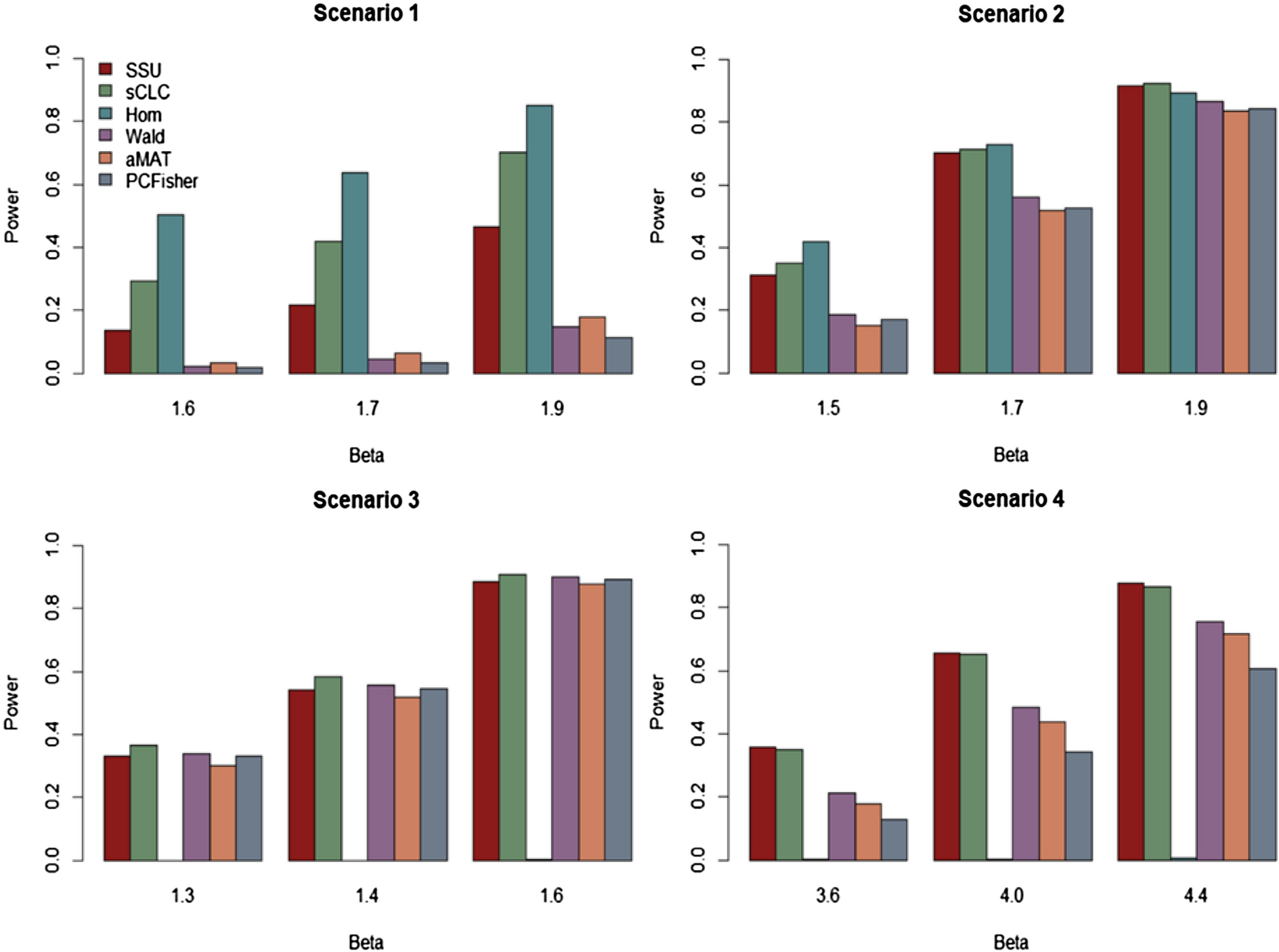
Figure 1

Power comparisons of the six methods, SSU, sCLC, Hom, Wald, aMAT, and PCFisher for the phenotypic correlation structure of the 70 phenotypes at a significant level of \(5\times {10}^{-8}.\)

Power comparisons of the six methods, SSU, sCLC, Hom, Wald, aMAT, and PCFisher for the phenotypic correlation structure of the 70 phenotypes at a significant level of \(5\times {10}^{-8}.\)