Figure 14
From: Dental image enhancement network for early diagnosis of oral dental disease

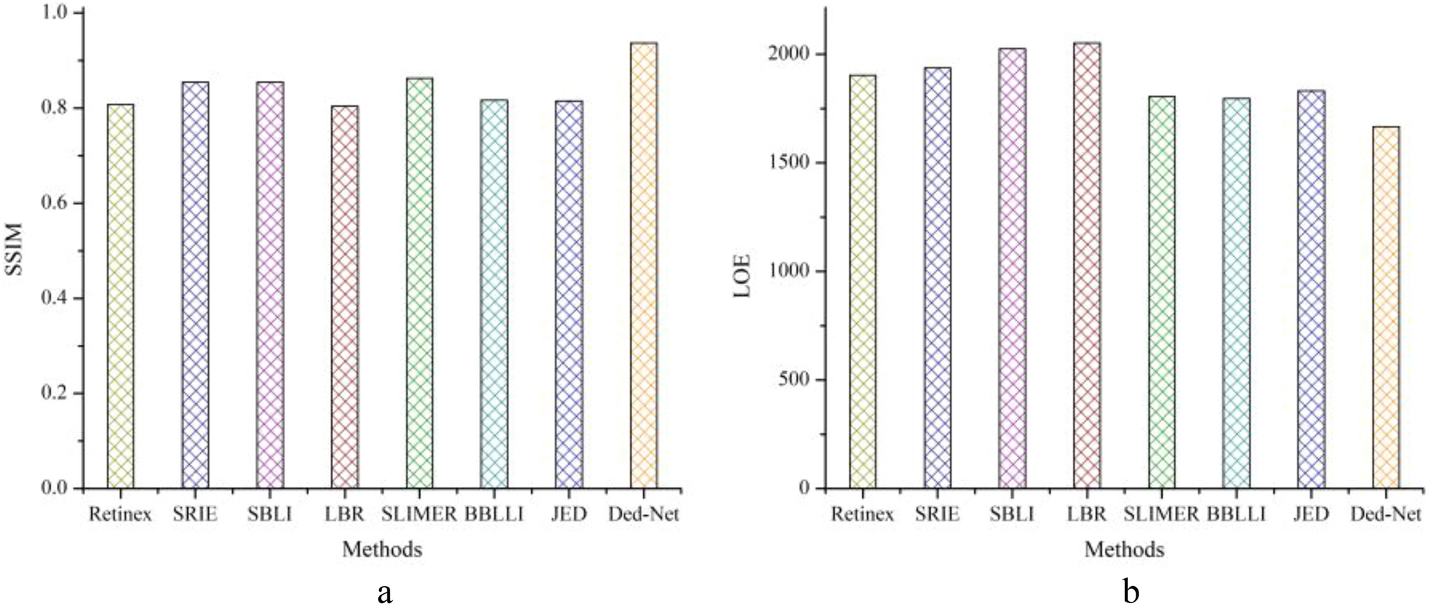
Comparison in terms of (a) SSIM and (b) LOE evaluation metrics with several sate of the art approaches.
From: Dental image enhancement network for early diagnosis of oral dental disease

Comparison in terms of (a) SSIM and (b) LOE evaluation metrics with several sate of the art approaches.