Figure 3
From: Optomechanically induced gain using a trapped interacting Bose-Einstein condensate

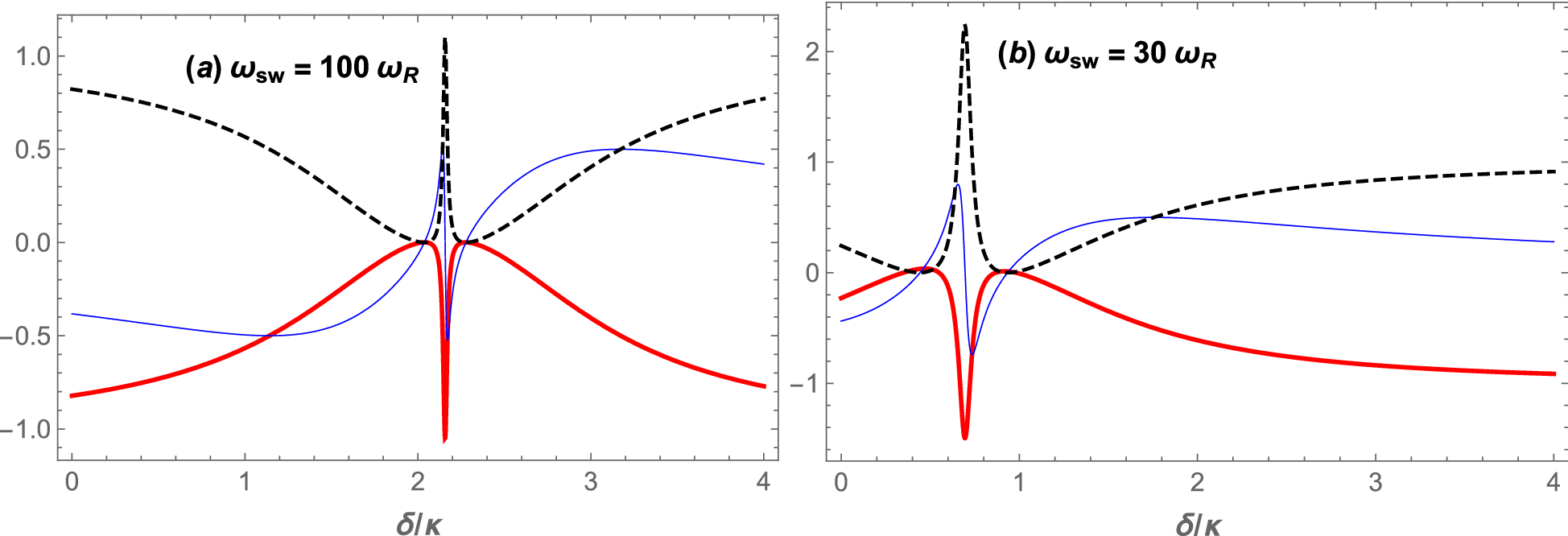
(Color online) \(\mathrm Re[\varepsilon _R]\) (red thick curve) and \(\mathrm Im[\varepsilon _R]\) (blue thin curve) as well as the cavity power reflection coefficient R (black dashed curve) at the signal frequency versus the normalized frequency detuning (\(\delta /\kappa\)) for the coupling laser pumping rate of \(|\varepsilon _c| = 0.10\kappa\), in the red detuning regime of \(\Delta =\omega _B\) for two different values of the s-wave scattering frequency: (a) \(\omega _{sw}=100\omega _{R}\), and (b) \(\omega _{sw}=30\omega _R\). The other parameters are the same as those of Fig. 2.