Figure 5
From: Optomechanically induced gain using a trapped interacting Bose-Einstein condensate

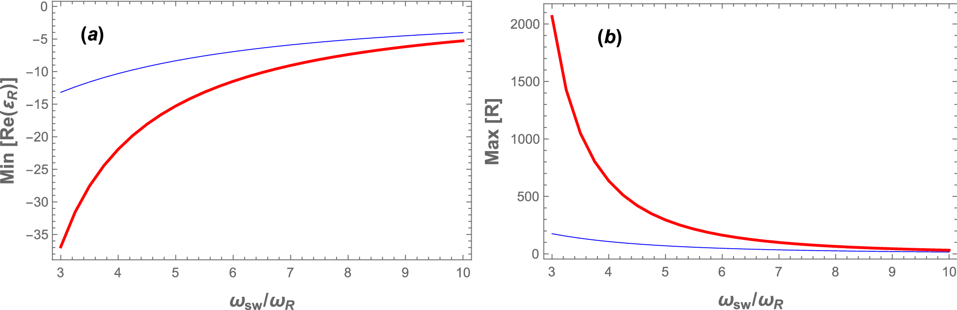
(Color online) (a) The minimum value of the real part of the reflected field amplitude, (b) the maximum value of the cavity power reflection coefficient at the signal frequency versus \(\omega _{sw}/\omega _{R}\) for two different values of the coupling laser pumping rate: \(|\varepsilon _c|=0.10\kappa\) (the blue thin curve) and \(|\varepsilon _c|=0.15\kappa\) (the red thick curve). The other parameters are the same as those of Fig. 2.