Figure 5
From: Valorification of Egyptian volcanic tuff as eco-sustainable blended cementitious materials

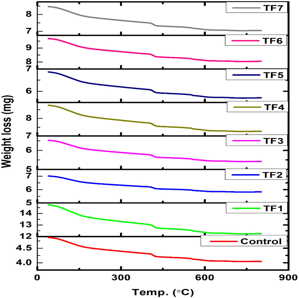
TGA analyses of Tuff samples at 60 days.
From: Valorification of Egyptian volcanic tuff as eco-sustainable blended cementitious materials

TGA analyses of Tuff samples at 60 days.