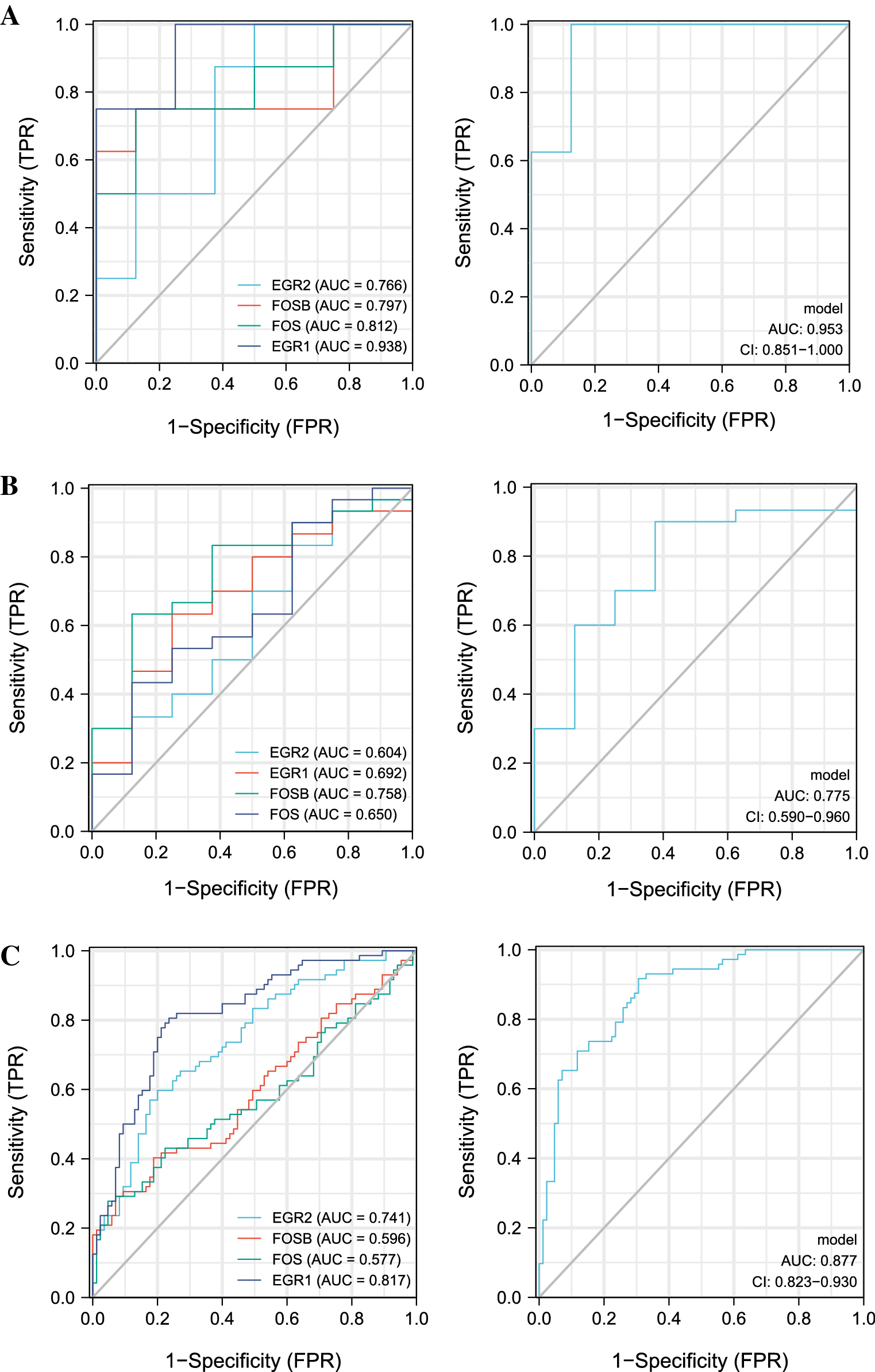
Figure 8

Analysis of the disease predictive abilities of the four selected hub genes. (A) ROC curve analysis of diagnostic models for single and combined genes in merged dataset. (B) ROC curve analysis of diagnostic models for single and combined genes in GSE21610. (C) ROC curve analysis of diagnostic models for single and combined genes in GSE57338.