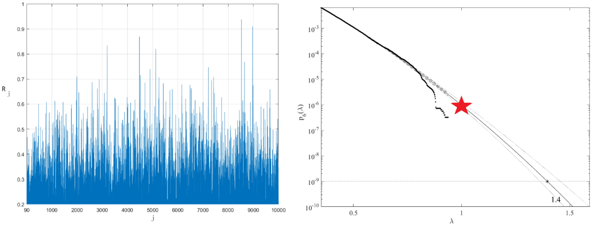
Figure 4
From: Novel methods for reliability study of multi-dimensional non-linear dynamic systems

Left: Example of non-dimensional assembled 3D vector \(\overrightarrow{R}\). Right: Extrapolation of \({p}_{k}\left(\lambda \right)\) towards critical level (indicated by a star) and beyond,\(k=6\). Extrapolated 95% CI indicated by dotted lines.