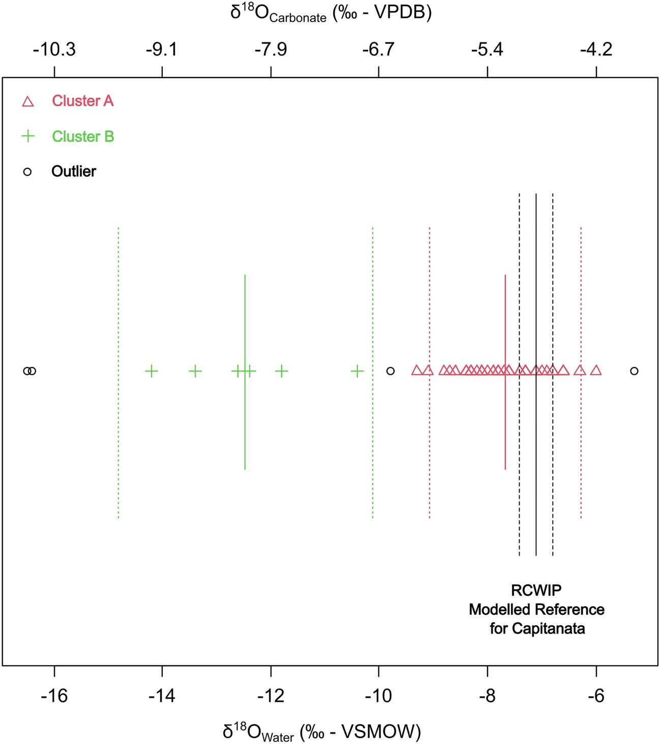
Figure 8

Cluster classification and outlier detection for the distribution of δ18O values for adult individuals from Tertiveri and Montecorvino. Solid green and red lines represent cluster mean values, whereas green and red pointed lines represent a 2-sigma interval. Continuous vertical black line represents the mean δ18OWater value for Tertiveri and Montercorvino ( −7.1‰) determined using Bayesian modelling of RCWIP estimates while dashed vertical black lines represent the standard error of the mean for the estimates (0.3‰) (Terzer et al. 2013)67.