Figure 3
From: RETRACTED ARTICLE: Marangoni convection in dissipative flow of nanofluid through porous space

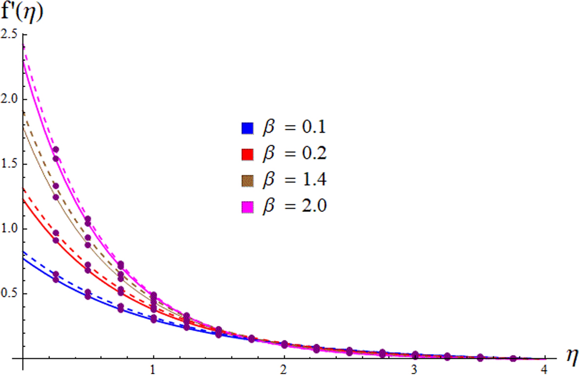
Behavior of velocity \(f^{\prime}\left( \eta \right)\) against \(\beta\) = 0.1, 0.2,1.4, 2.0.
From: RETRACTED ARTICLE: Marangoni convection in dissipative flow of nanofluid through porous space

Behavior of velocity \(f^{\prime}\left( \eta \right)\) against \(\beta\) = 0.1, 0.2,1.4, 2.0.