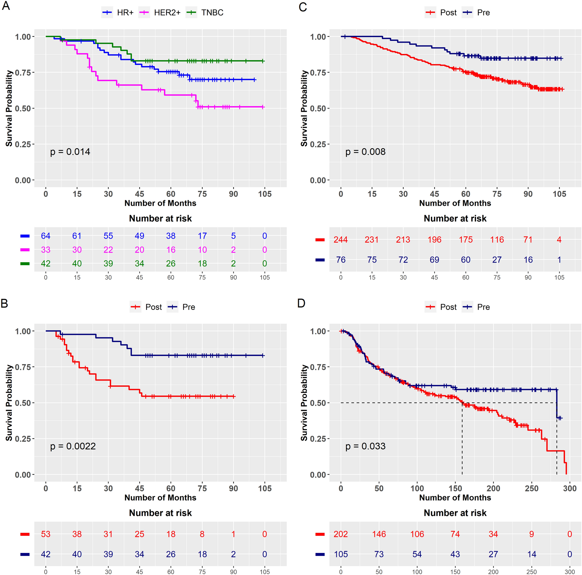
Figure 1

Kaplan Meier survival plots. (A) Disease free survival (DFS) across three subtypes in premenopausal breast cancer. (B) DFS in TNBC tumors between pre and postmenopausal BC. (C) Overall survival (OS) in TNBC tumors between pre and postmenopausal BC in SCAN-B database and (D) OS in TNBC tumors between pre and postmenopausal BC in METABRIC database.