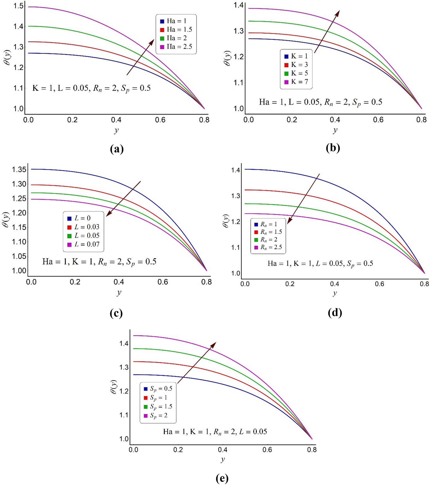
Figure 5

Alterations in temperature distribution of ternary fluid for various values of (a) Hartmann number Ha, (b) electroosmotic parameter K, (c) momentum slip parameter L, (d) thermal radiation number, (e) ohmic heating parameter Sp.

Alterations in temperature distribution of ternary fluid for various values of (a) Hartmann number Ha, (b) electroosmotic parameter K, (c) momentum slip parameter L, (d) thermal radiation number, (e) ohmic heating parameter Sp.