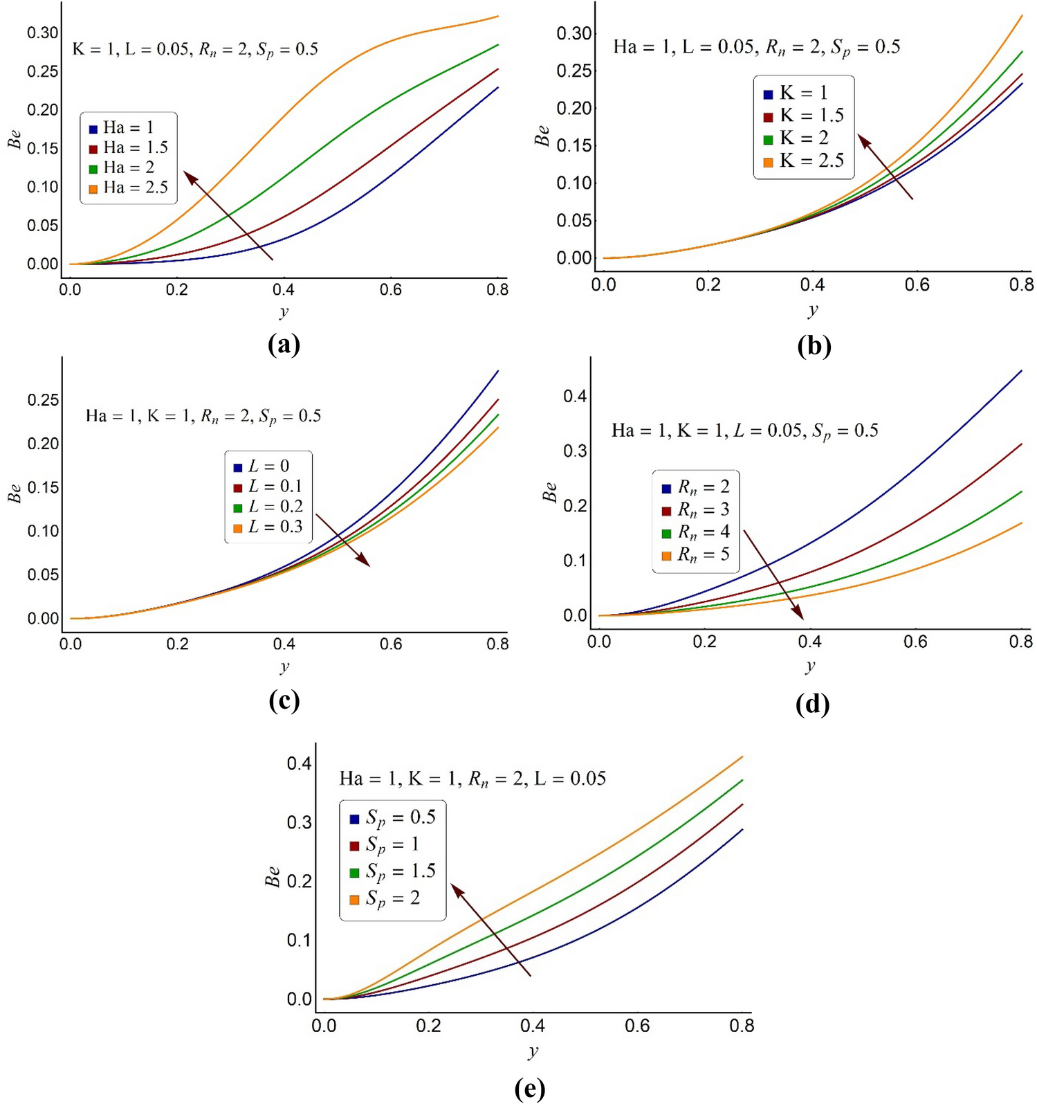
Figure 7

Alterations in the Bejan number profile of ternary fluid for various values of (a) Hartmann number Ha, (b) electroosmotic parameter K, (c) momentum slip parameter L, (d) thermal radiation number Rn, (e) ohmic heating parameter Sp.

Alterations in the Bejan number profile of ternary fluid for various values of (a) Hartmann number Ha, (b) electroosmotic parameter K, (c) momentum slip parameter L, (d) thermal radiation number Rn, (e) ohmic heating parameter Sp.