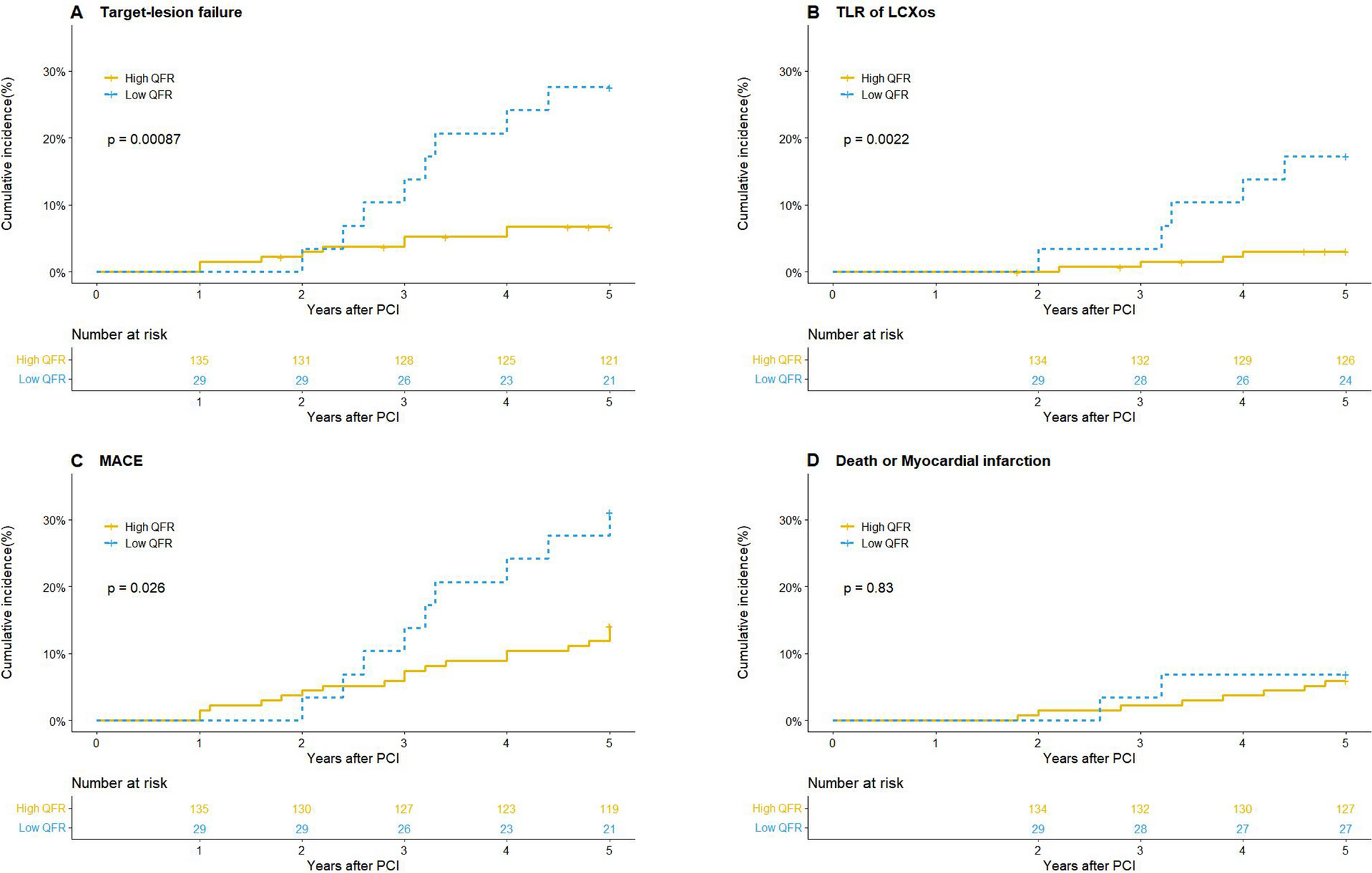
Figure 2

5-Year event rate according to QFR in jailed LCx after LM simple crossover stenting. Comparison of estimated event rates including: (A) target lesion failure, (B) target lesion revascularization of LCXos, (C) MACE, (D) death or myocardial infarction between the high QFR group (continuous line) and the low QFR group (dotted line).