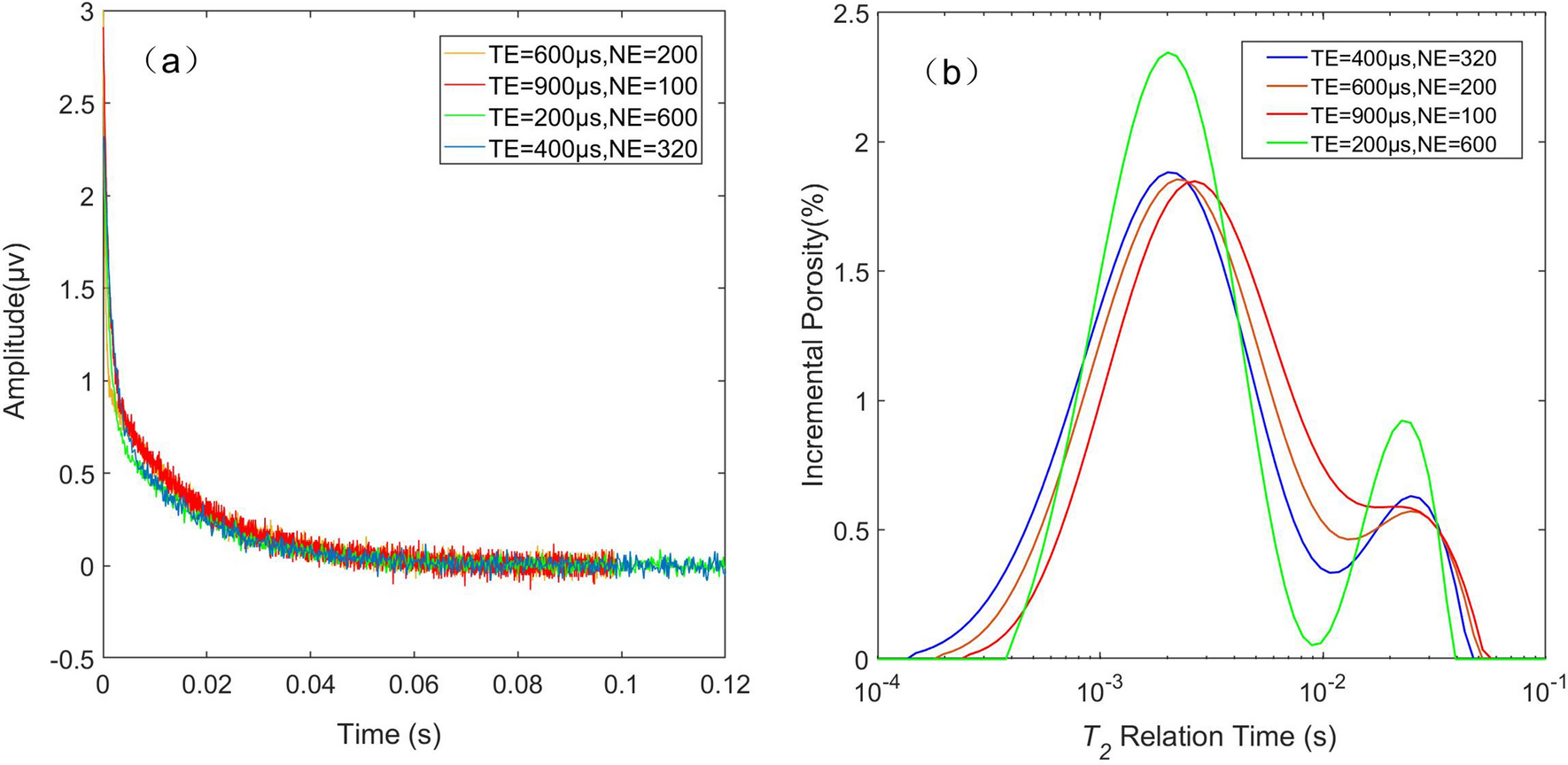
Figure 1
From: Adaptive control for downhole nuclear magnetic resonance excitation

Original echo trains and T2 spectra of the same sample with different pulse sequence parameters, assuming that TW is sufficiently large. (a) Echo trains data points acquired with different parameters. (b) T2 spectra obtained by the inversion of echo trains with different acquisition parameters.