Figure 3
From: A neural network-based PDE solving algorithm with high precision

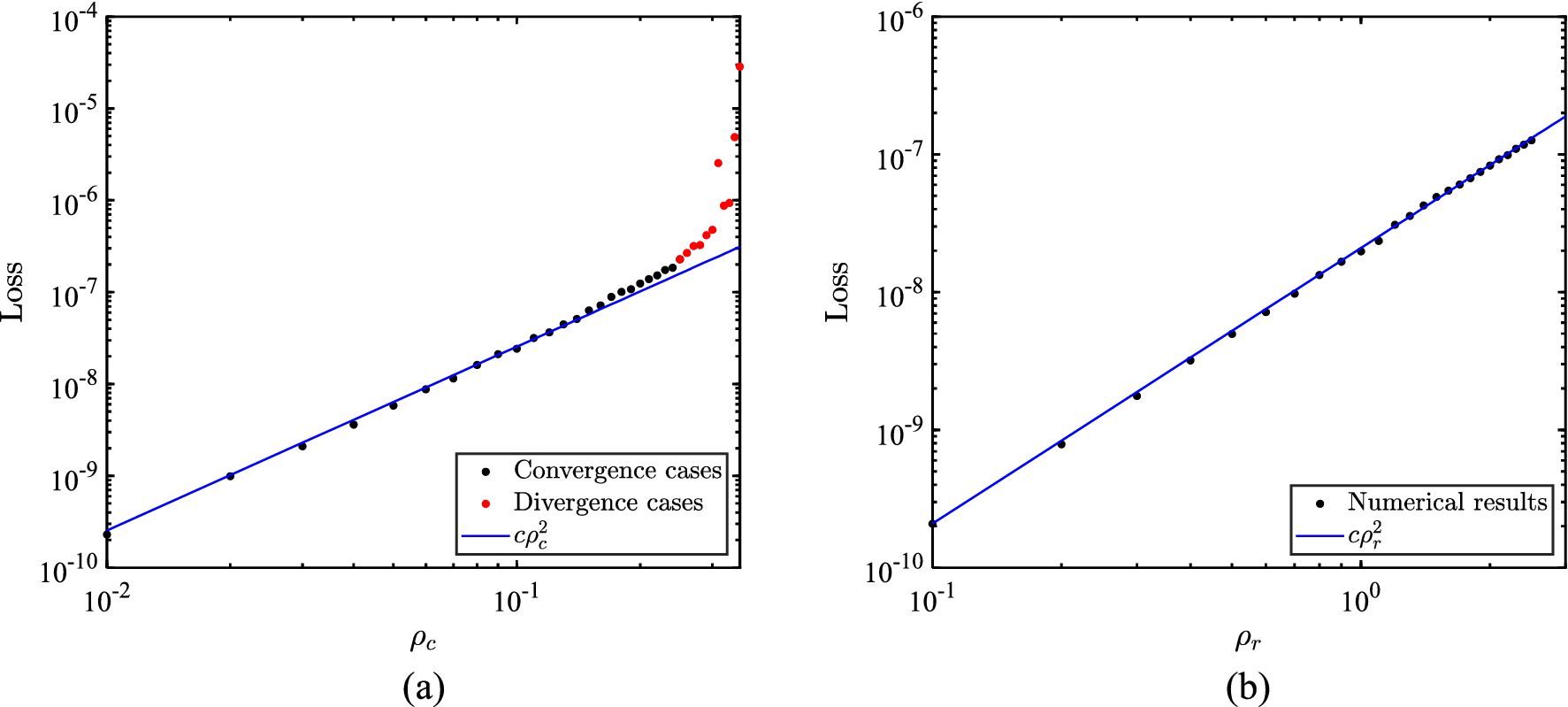
The influence of the off-diagonal elements on the training loss (Left: the influence of \({\rho }_{c}\) when \({\rho }_{r}=0.1\); Right: the influence of \({\rho }_{r}\) when \({\rho }_{c}=0.1\)).