Figure 8
From: A neural network-based PDE solving algorithm with high precision

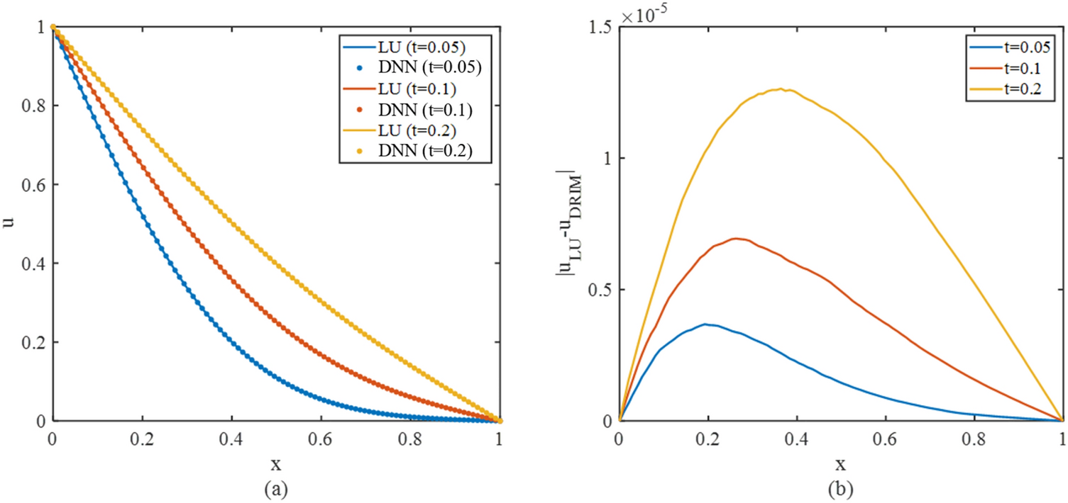
The numerical solution to the heat conduction equation at y = 0.5 (a) and the error distribution (b).
From: A neural network-based PDE solving algorithm with high precision

The numerical solution to the heat conduction equation at y = 0.5 (a) and the error distribution (b).