Figure 6
From: A time fractional model of a Maxwell nanofluid through a channel flow with applications in grease

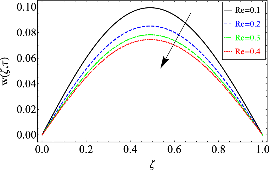
The effect of different values of Re on velocity distribution of Maxwell nanofluid, when \(\alpha = 0.7\), \(\tau = 0.5\), \(\phi = 0.02\), \(Gm = 0.5,\) \(Gr = 0.05\), \(\Pr = 6300\), \(Sc = 15\) and \(\lambda = 0.5\).