Figure 2
From: Evaluation of the main regulators of systemic iron homeostasis in pyruvate kinase deficiency

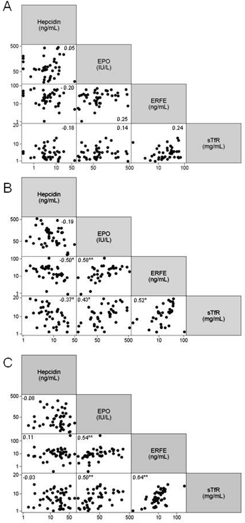
Pairwise correlations between selected variables in CDAII (A), PKD (B), and HS patients (C). Pearson’s r correlation coefficients are indicated in the figure. *P < 0.05 and **P < 0.001. Hepcidin, EPO, and ERFE were ln-transformed.