Figure 3
From: Characterization of pancreatic cancer with ultra-low tumor mutational burden

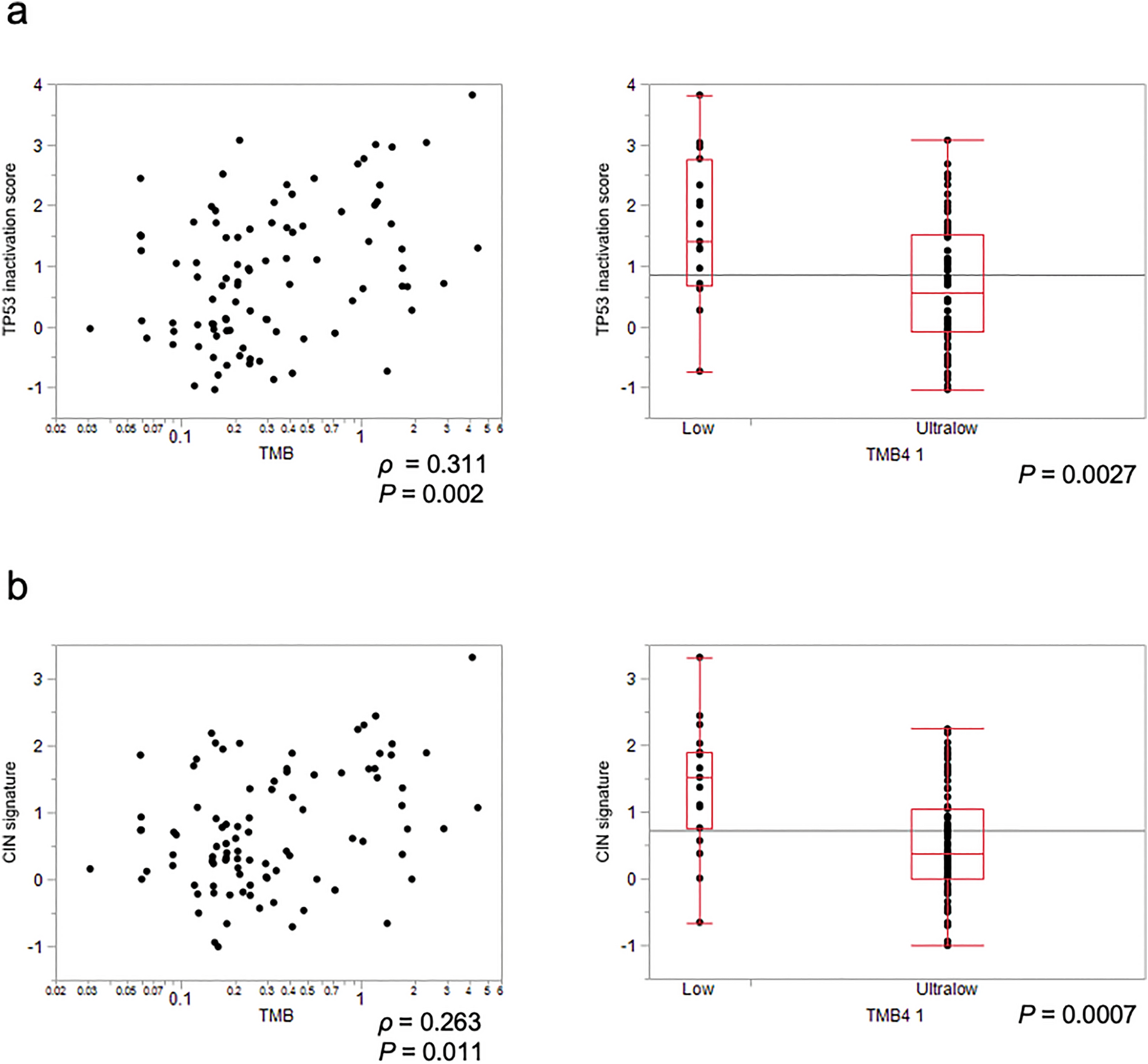
Relationship between the gene expression signatures and TMB. (a) The left figure shows the correlation between the TMB and TP53 inactivation score, and the right figure shows the comparison of the TP53 inactivation score after the classification of the TMB. The TP53 inactivation score was significantly decreased in TMB-ultra-low tumors. (b) The left figure shows the correlation between the TMB and CIN signature score, and the right figure shows the comparison of the CIN signature score after the classification of the TMB. The CIN signature score was significantly decreased in TMB-ultra-low tumors.