Figure 3
From: Reconfigurable magnon interference by on-chip dynamic wavelength conversion

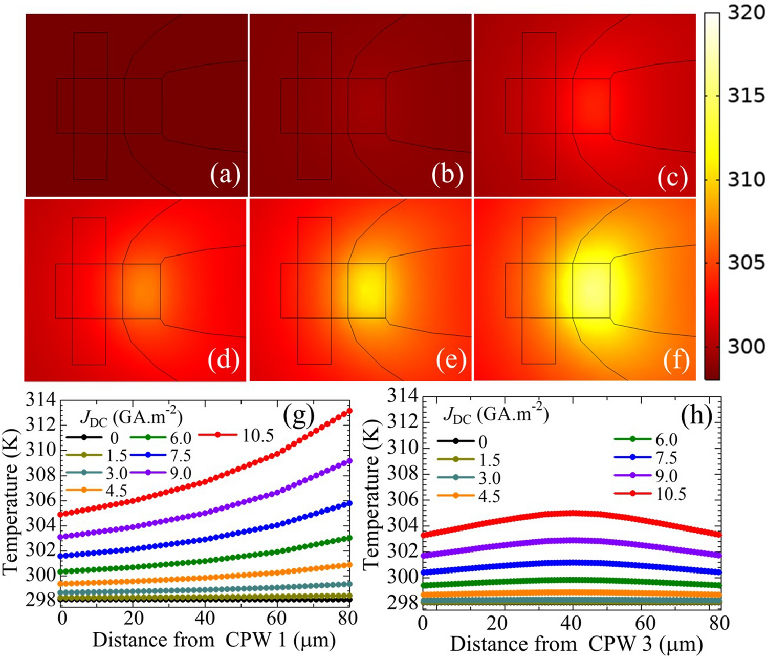
Temperature distribution at (a) JDC = 0, (b) JDC = 3.0, (c) JDC = 6.0, (d) JDC = 7.5, (e) JDC = 9.0, and (f) JDC = 10.5 GA m−2. Resulting JDC-dependent temperature gradient along (g) horizontal arm and (h) vertical arm of the YIG crossbar.