FigureĀ 5
From: Reconfigurable magnon interference by on-chip dynamic wavelength conversion

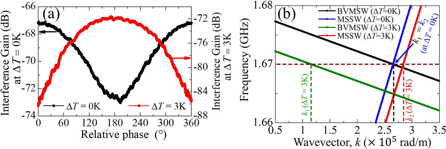
(a) Interference patterns at 0Ā K (black curve) and 3 K (red curve) above the room temperature. It demonstrates theĀ reconfiguration from XNOR to XOR logic by altering the thermal landscape. (b) Corresponding dispersion curves of BVMSWs and MSSWs at different temperatures.