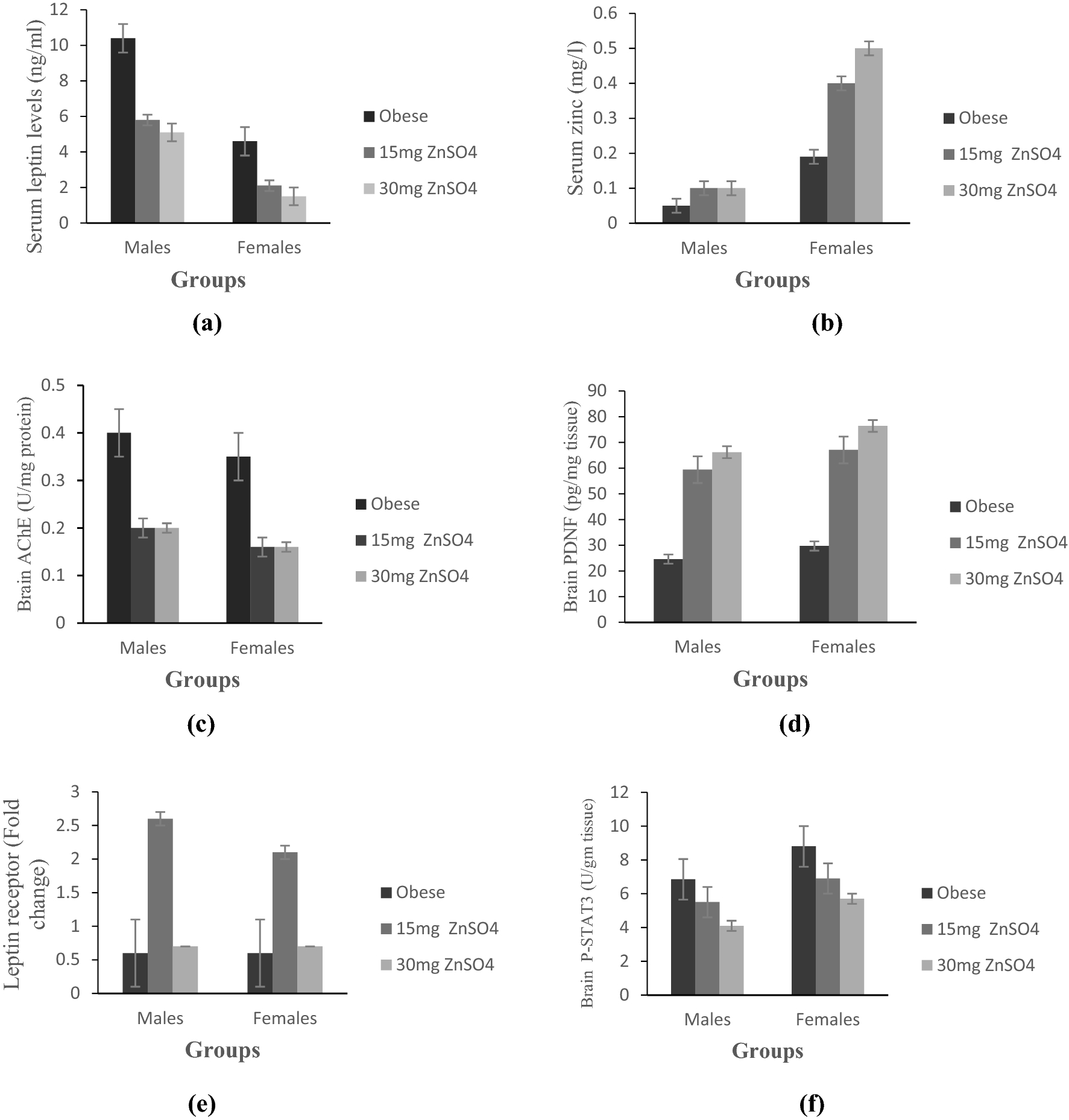
Figure 4

Comparison between male versus female obese rats before and after 15 mg ZnSO4, and 30 mg ZnSO4 regarding; (a) serum leptin levels; (b) serum zinc content; (c) brain AChE (U/mg protein); (d) brain PDNF (pg/mg tissue); (e) fold change in leptin receptor gene expression in brain tissues; (f) brain p-STAT3 (U/mg tissue). Results are expressed as (mean ± S.D).