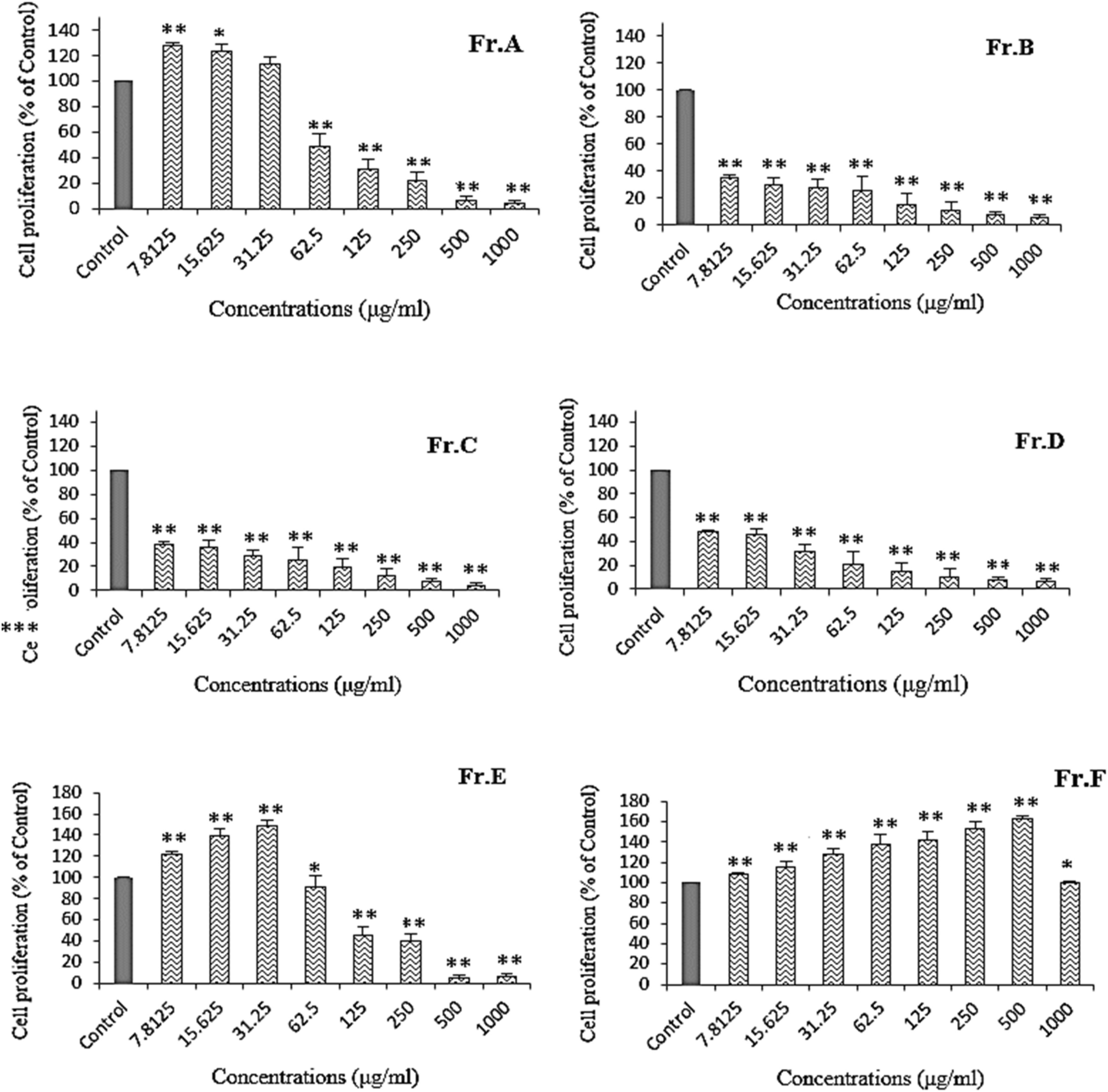
Figure 2

Effect of Fr. A to Fr. F obtained from the cyclohexane extract on the proliferation rate of Hs.27 fibroblast cells. All bars and values represent the mean ± SD of the three replicate experiments. *Significant difference (P < 0.05) and **P < 0.01 when compared to the control group.