Figure 2
From: A realized facilitation cascade mediated by biological soil crusts in a sagebrush steppe community

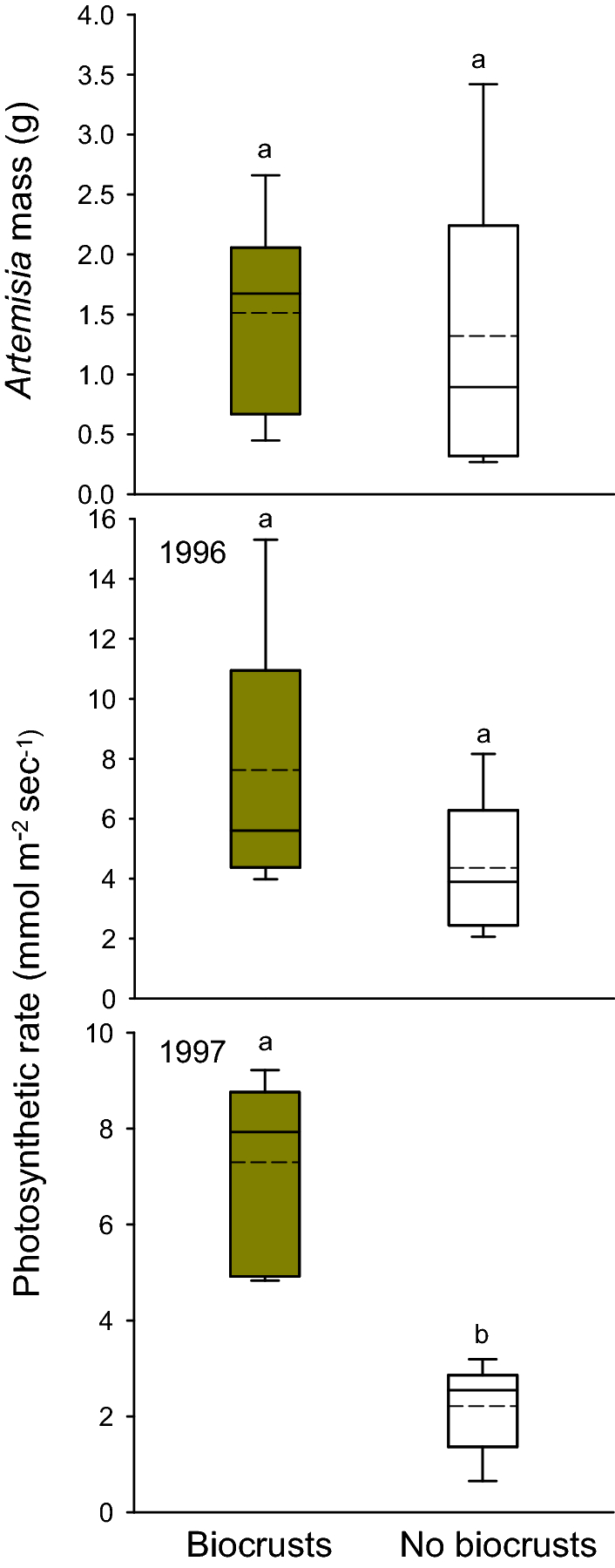
Aboveground biomass of Artemisia tridentata juveniles grown for two years in locations with biocrusts intact and biocrusts removed, and photosynthetic rates of one-year-old and two-year-old Artemisia in the same treatments. Boxplots represent the interquartile range and median, and points represent outliers, and the dashed lines indicate means. Shared letters indicate no statistical difference between treatments and dashed lines show the means.