Figure 5
From: Laguncularia racemosa leaves indicate the presence of potentially toxic elements in mangroves

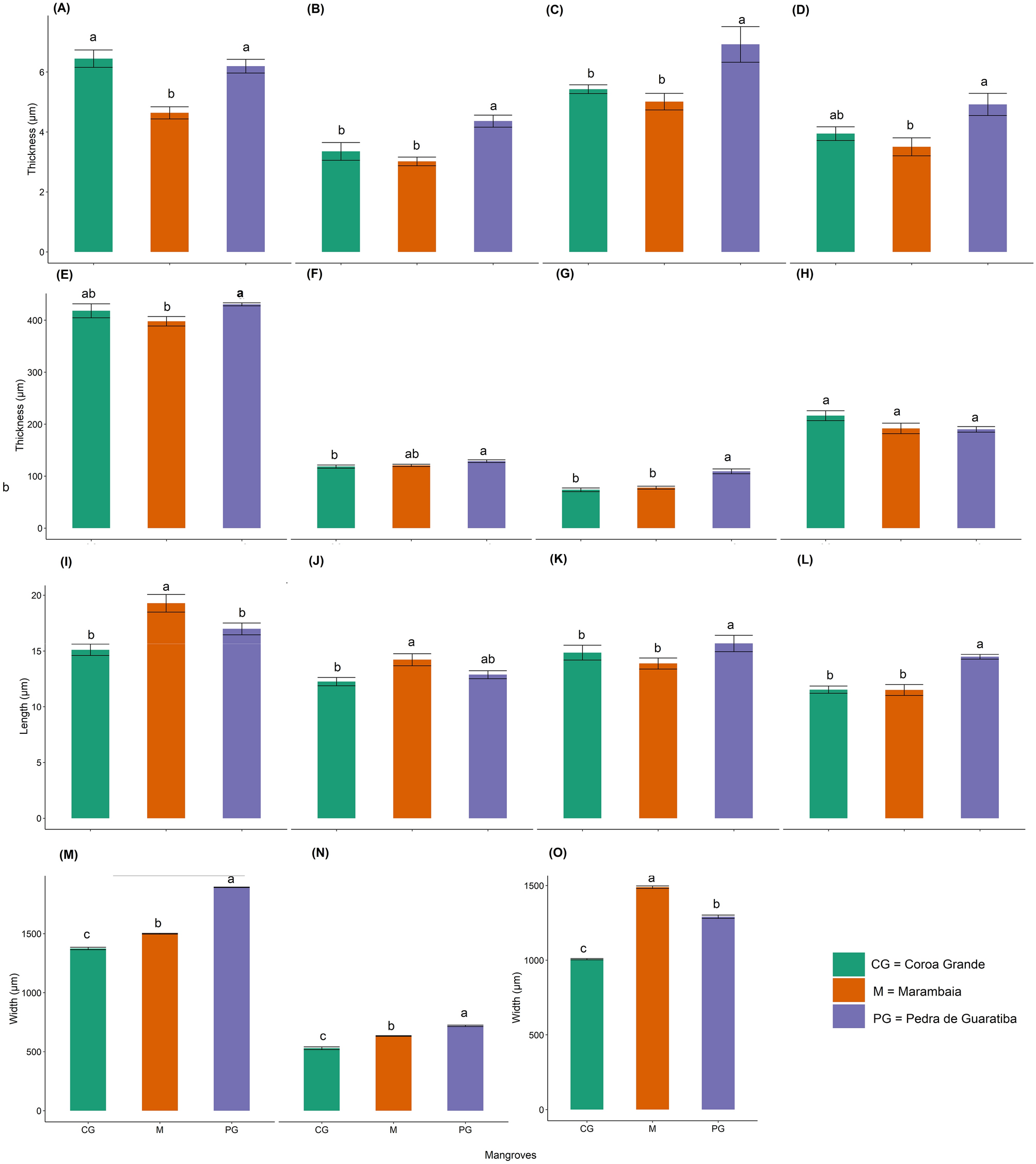
Light microscopy anatomical analysis of Laguncularia racemosa leaves collected in different mangroves in Rio de Janeiro (Brazil). Intercostal region: (A) thickness of adaxial wax + cuticle layer; (B) thickness of abaxial wax + cuticle layer; (E) thickness of mesophyll; (F) thickness of adaxial palisade parenchyma; (G) thickness of abaxial palisade parenchyma; (H) thickness of water storage parenchyma; (I) length of adaxial epidermal cells; (J) length of abaxial epidermal cells. Midvein region: (C) thickness of adaxial wax + cuticle; (D) thickness of abaxial wax + cuticle; (K) length of adaxial epidermal cells; (L) length of abaxial epidermal cells; (M) length of midvein region; (N) length of midvein; (O) width of midvein. Different letters indicate significant difference by Tukey’s HSD test (Padj < 0.05).