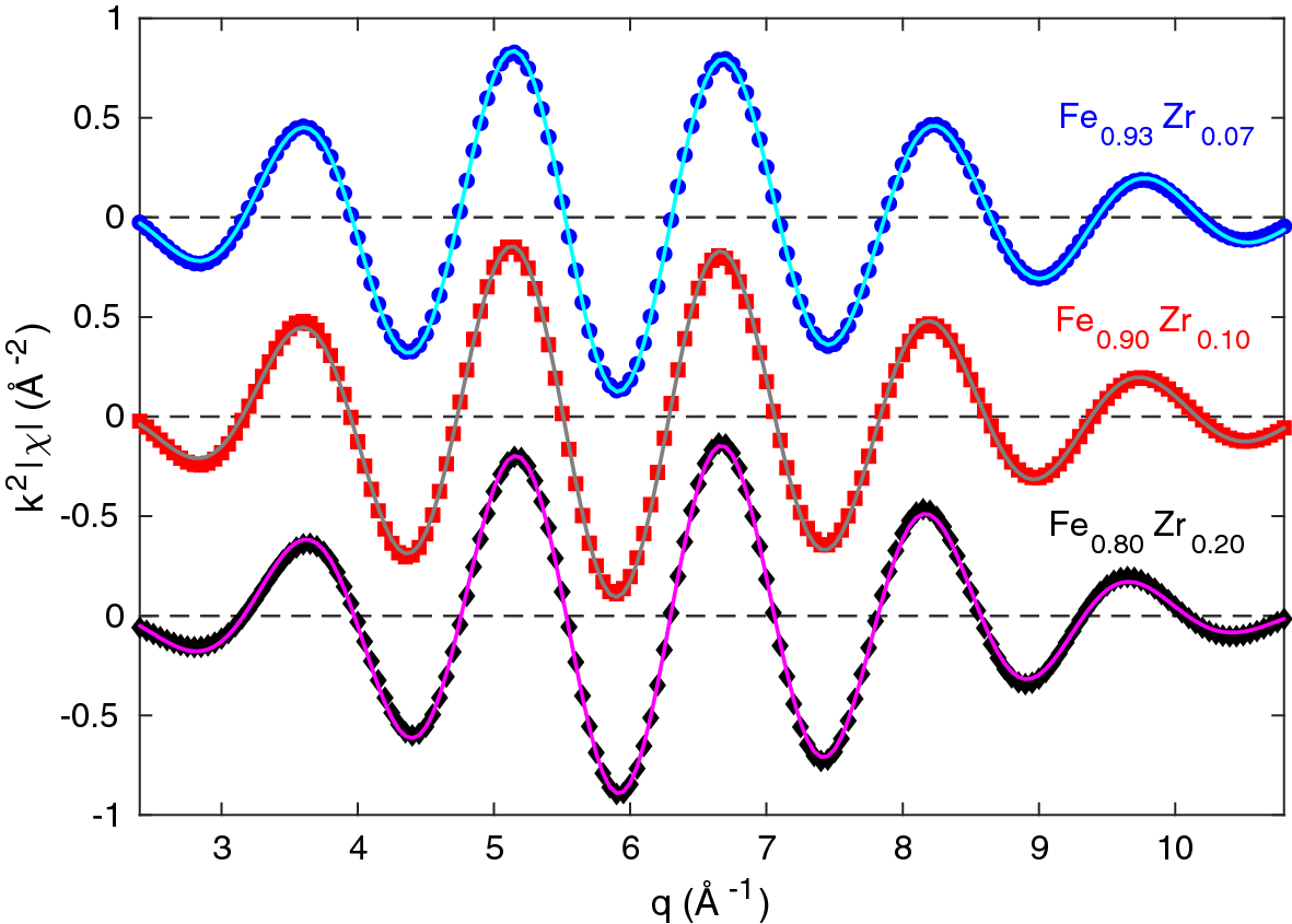
Figure 6

\(k^2\)-weighted real part of \(\chi (q)\) for experimental data (points) measured at 80 K and fits according to the four path model described in the text (lines). Both the experimental data and the fits are limited to the first shell. The back-Fourier analysis is made for \(R \sim 1.5{-}2.7\) Å using a Hanning window for the experimental data (corresponding to non-phase corrected distances). The data are shifted for clarity with the dashed lines indicating each zero level.