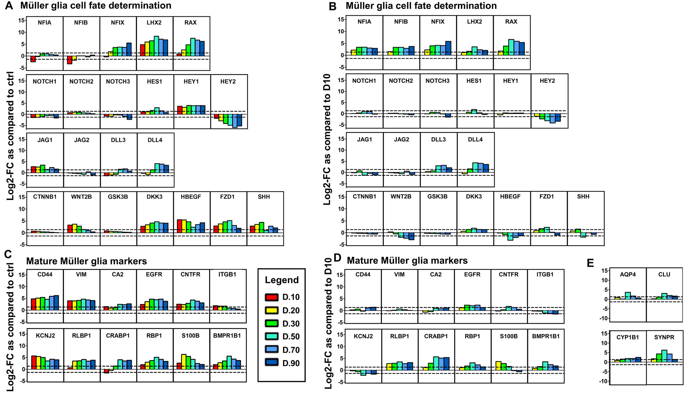
Figure 5

Examination of various genes expressed by Müller glia and selectively enriched in transcriptomics analysis. Bar graphs show log2Fold change (Log2FC) in selective gene expression for each CD29+/CD44+ sample as compared to undifferentiated stem cells (A/C) or cells isolated at D10 (B/D/E). Genes analysed comprise those associated with (A/B) Müller cell fate determination and (C/D/E) mature Müller glia markers. We regarded a 1.32 log2 fold change (increase and decrease) the cut off for significant change in expression (corresponding to fold changes of 2.5 and 0.4). Legend shows the age of the organoid from which the CD29+/CD44+ cells were isolated.