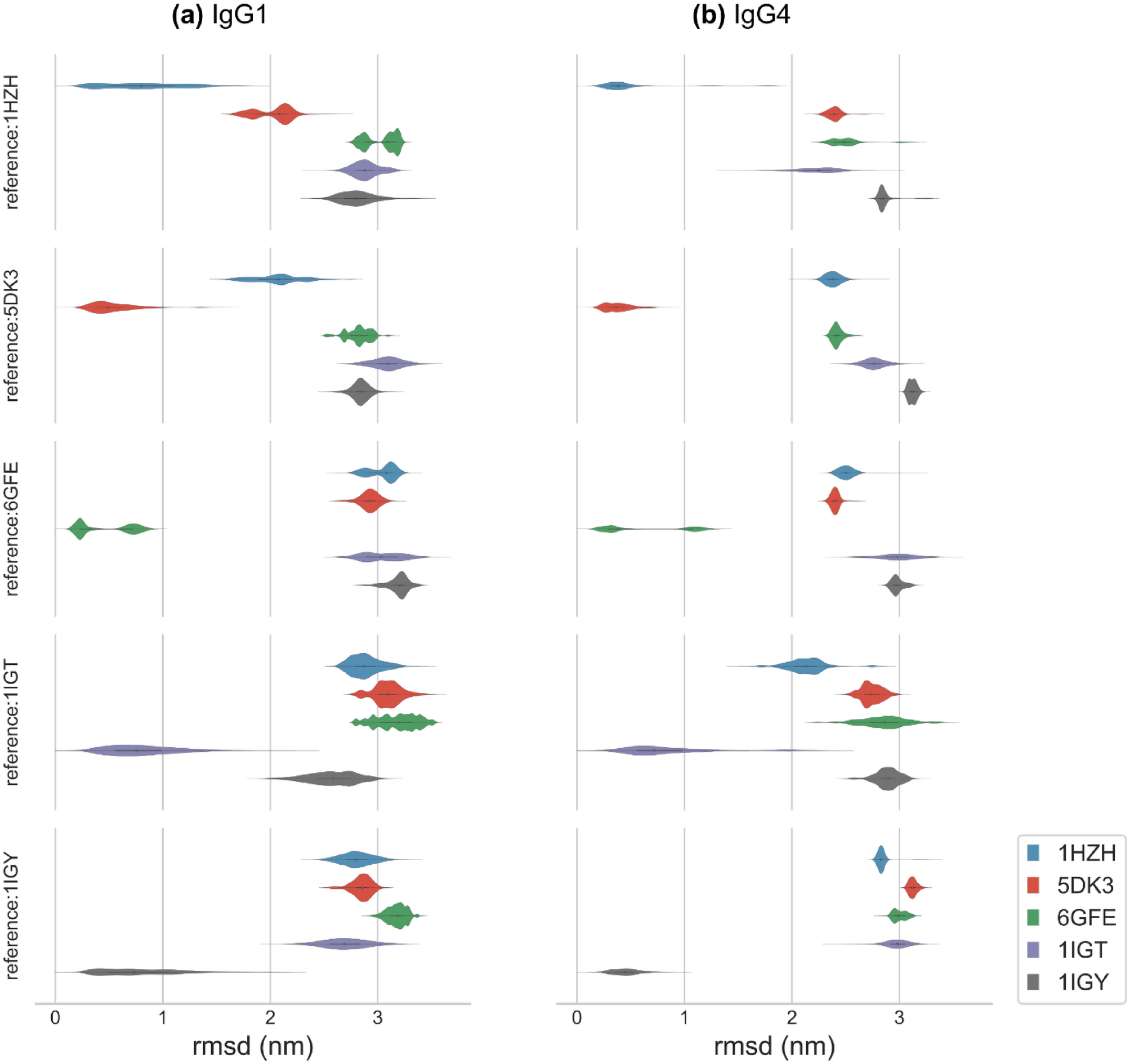
Figure 5

Violin plots showing the RMSD distributions for (a) IgG1 and (b) IgG4 trajectories spawned from the five full length antibody structures discussed in Fig. 3. A typical 500 ns trajectory in our studies contained 25,000 frames and every system contained two independent trajectories. Each frame in the trajectory was aligned to 25 conformations, each 20 ns apart, in a reference trajectory and RMSD was computed for each alignment. Thus, every distribution in the plot was computed from 1.25 million estimates. RMSD for cross alignment in which the trajectory structure differs from the reference is significantly higher than RMSD for self-alignment indicating that trajectories spawned from a crystal structure only samples conformational states around its initial conformation.