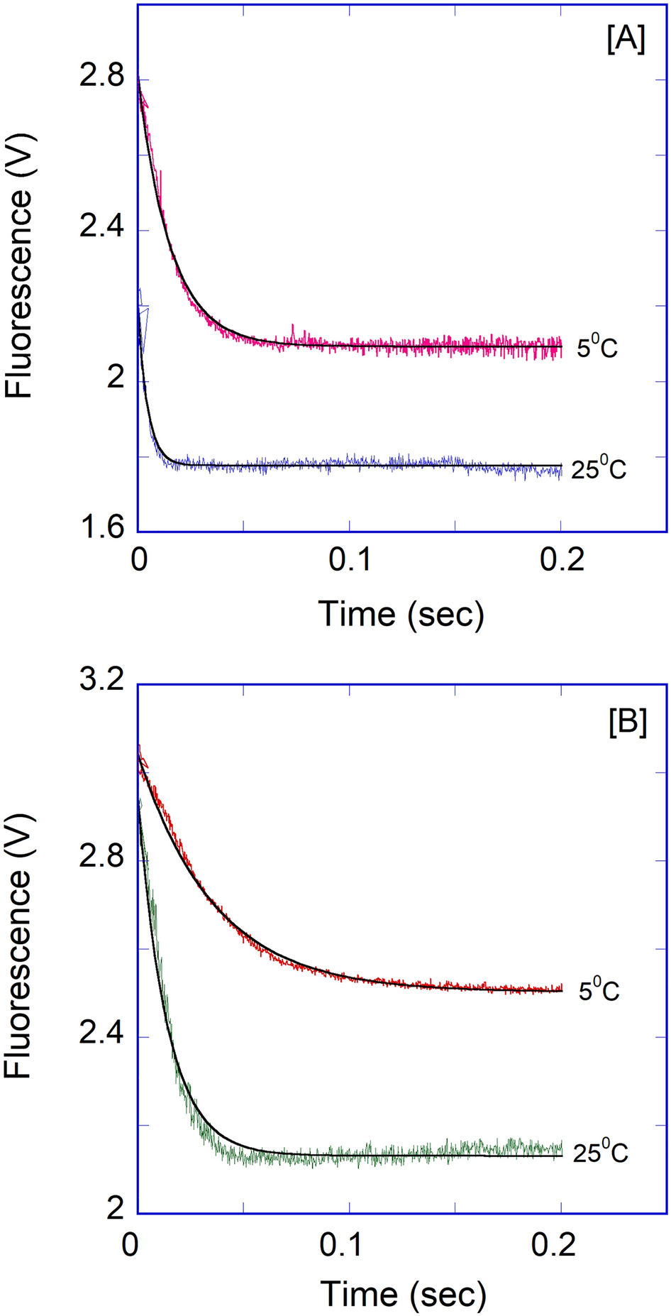
Figure 10

Representative temperature-dependent time course for the interaction of APP IREmRNA with IRP1. Kinetic data show the time-dependent decrease in fluorescence values after rapid mixing of (A) APP mRNA and (B) APP mRNA∙Fe2+ with IRP1 protein at 5 °C and 25 °C. APP mRNA and IRP1 concentrations were 1 μM (final) and 0.1 μM (final). Concentration of Fe2+ was 50 μM. The solid line represents the fitted curve for a single-exponential function. The experimental conditions are described in the Methods section.