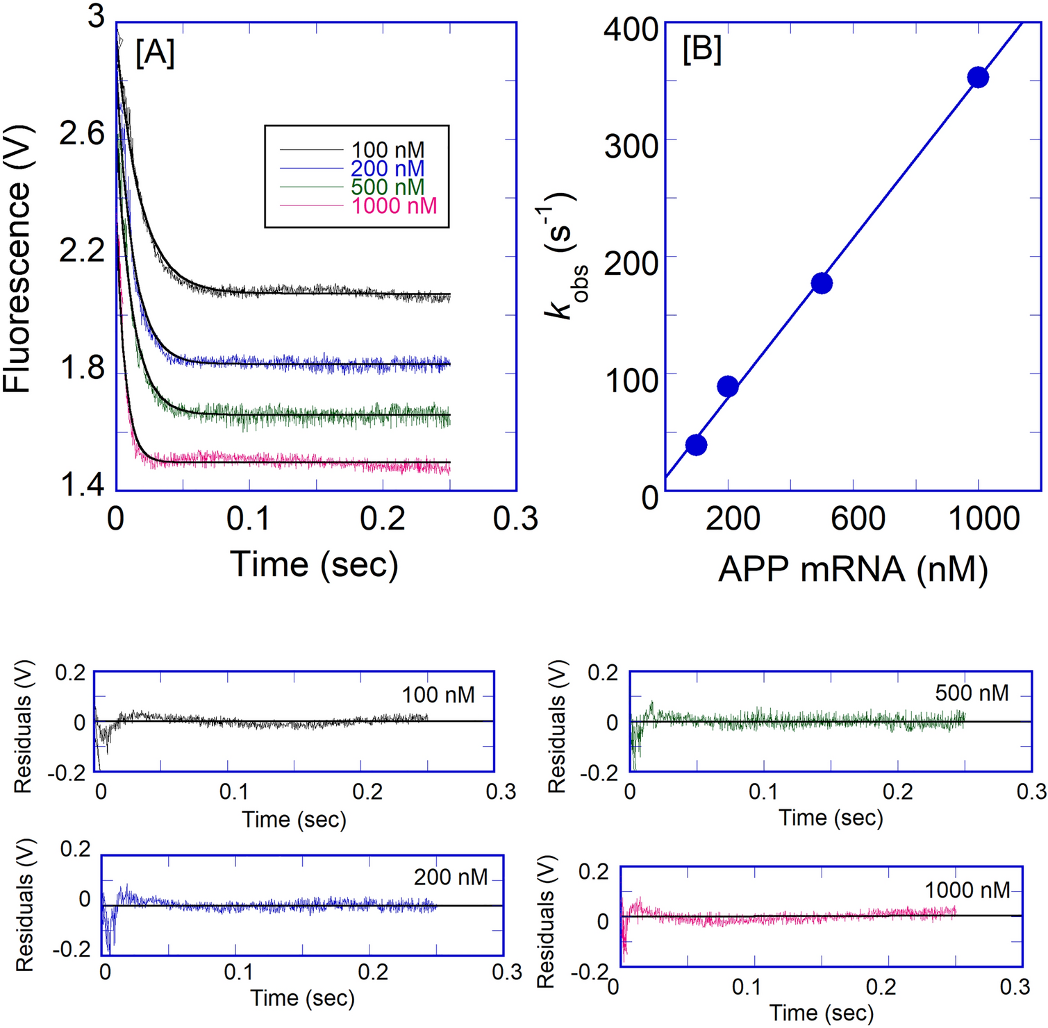
Figure 6

Kinetic rates for the binding of APP IREmRNA to IRP1 protein. (A) Typical time course of the intrinsic protein fluorescence intensity of IRP1 (0.1 μM final) decrease caused by binding of APP mRNA at varying concentration (0.1, 0.2, 0.5, and 1 μM final). (B) The observed rate constant for the binding of IRP1 to APP mRNA was plotted as a function of increasing concentrations of APP mRNA. The solid line represents the fitted curve for a single exponential function. Residuals for the corresponding fits are shown in the lower panels.