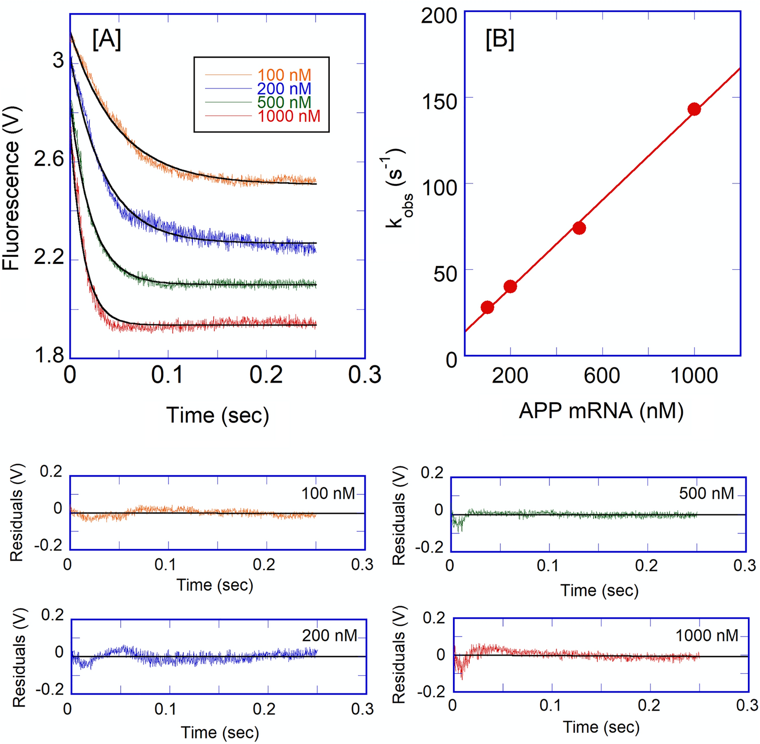
Figure 8

Kinetic rates for the binding of APP IREmRNA to IRP1 protein in the presence of iron. (A) Kinetic trace for the binding of IRP1 (0.1 μM final) at varying concentration of APP mRNA (0.1, 0.2, 0.5, and 1 μM final) in the presence of 50 μM Fe2+. (B) The observed rate constant for the binding of IRP1 with APP mRNA in the presence of iron was plotted as a function of increasing concentrations of APP mRNA. Data points in the plots of kobs versus APP mRNA concentration were obtained from the three independent experiments, and the average value of the experimental data was reported. The solid line represents the fitted curve for a single exponential function. Residuals for the corresponding fits are shown in the lower panels.