Figure 9
From: A smart privacy preserving framework for industrial IoT using hybrid meta-heuristic algorithm

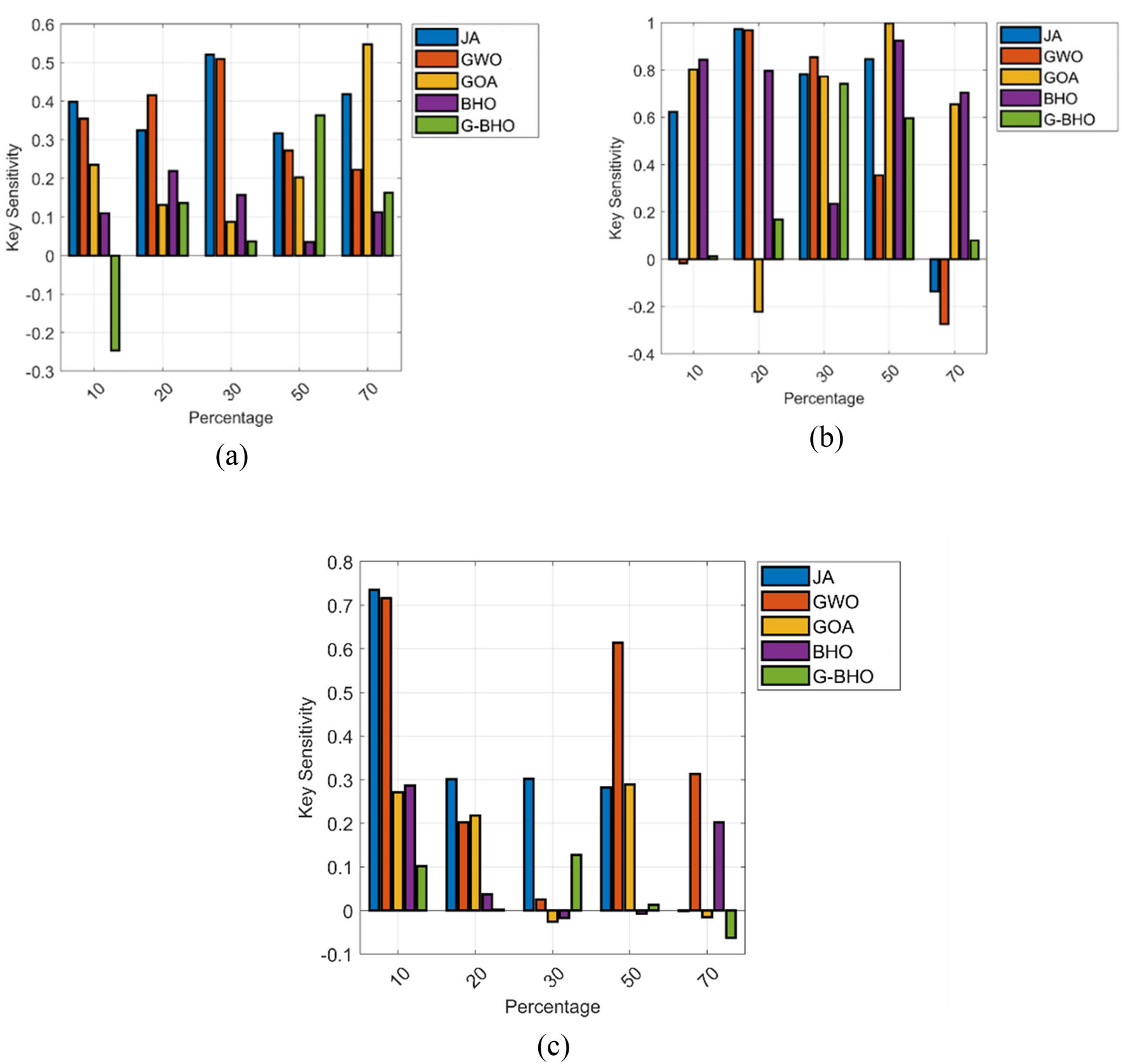
Key sensitivity analysis (a) Test case 1, (b) Test case 2, (c) Test case 3.
From: A smart privacy preserving framework for industrial IoT using hybrid meta-heuristic algorithm

Key sensitivity analysis (a) Test case 1, (b) Test case 2, (c) Test case 3.