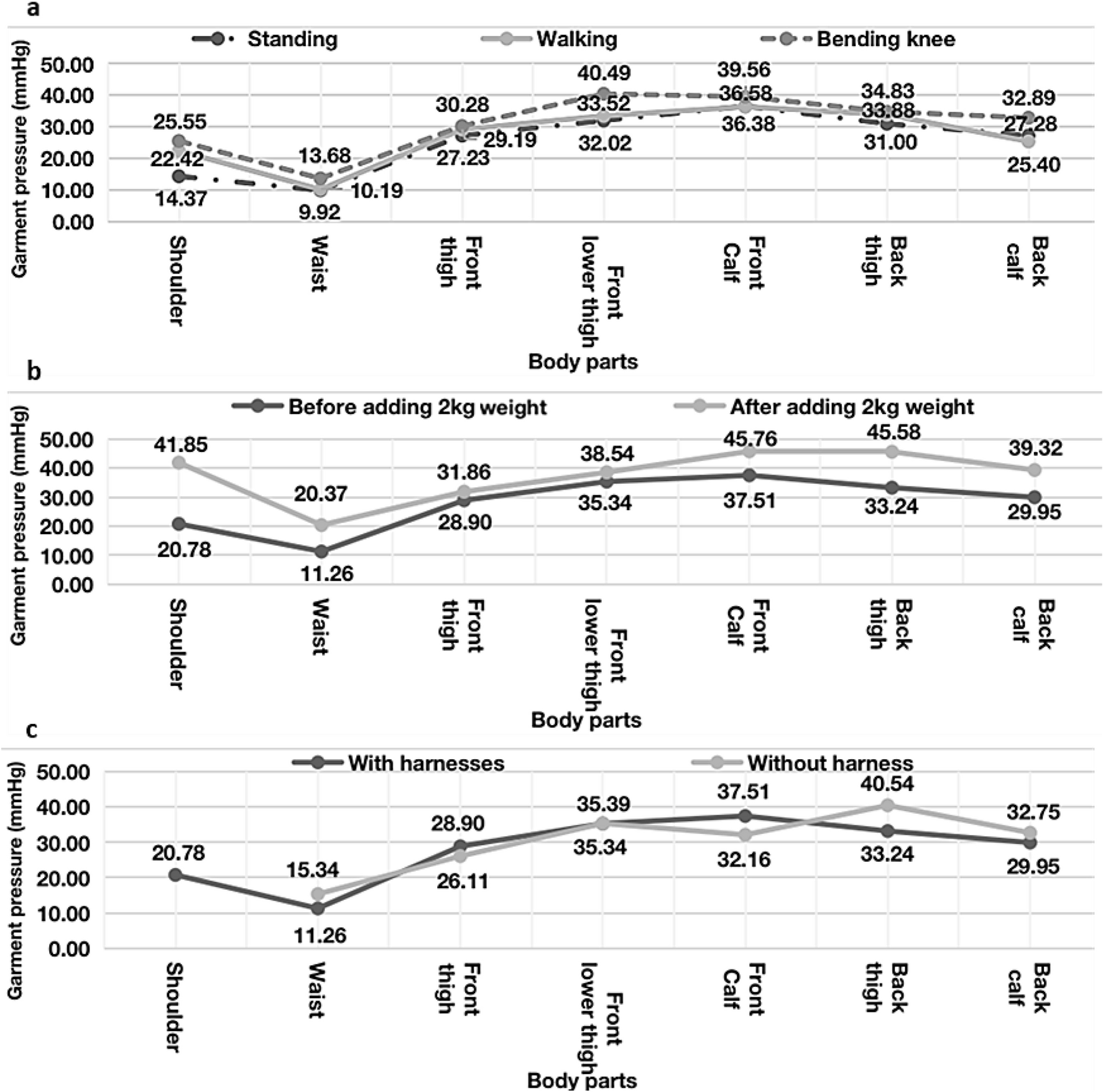
Figure 6

Garment pressure. (a) Results of the measured garment pressure and satisfaction-measured garment pressure by posture. (b) Measured garment pressure before and after the 2-kg weight was added. (c) Garment pressure with and without the harness.