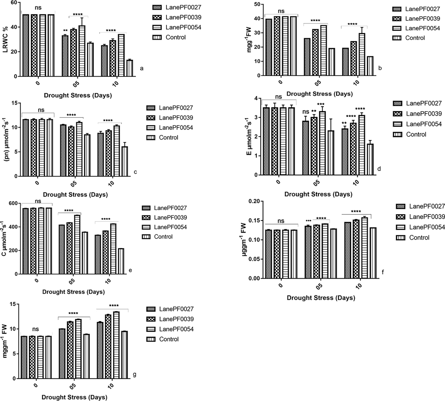
Figure 8

Effect of drought stress on physiological parameters of transgenic cotton plants with GaZnF gene. (a) Comparison of Leaf relative water content of transgenic and control plants, (b) Comparison of chlorophyll of transgenic and control plants, (c) Comparison of photosynthesis rate of transgenic and control plants, (d) Comparison of transpiration rate of transgenic and control plants, (e) Comparison of stomatal conductance of transgenic and control plants, (f) Comparison of proline content of transgenic and control plants, (g) Comparison of soluble sugar of transgenic and control plants. The means ± SD of three biological replicates are presented. Error bars represent the standard deviation of the mean. Above the bars ****, ***, ** represent significant and ns represent non-significant differences between transgenic and non-transgenic plants respectively at the P < 0.05 level according to LSD multiple range test.