Figure 5
From: Delineating COVID-19 subgroups using routine clinical data identifies distinct in-hospital outcomes

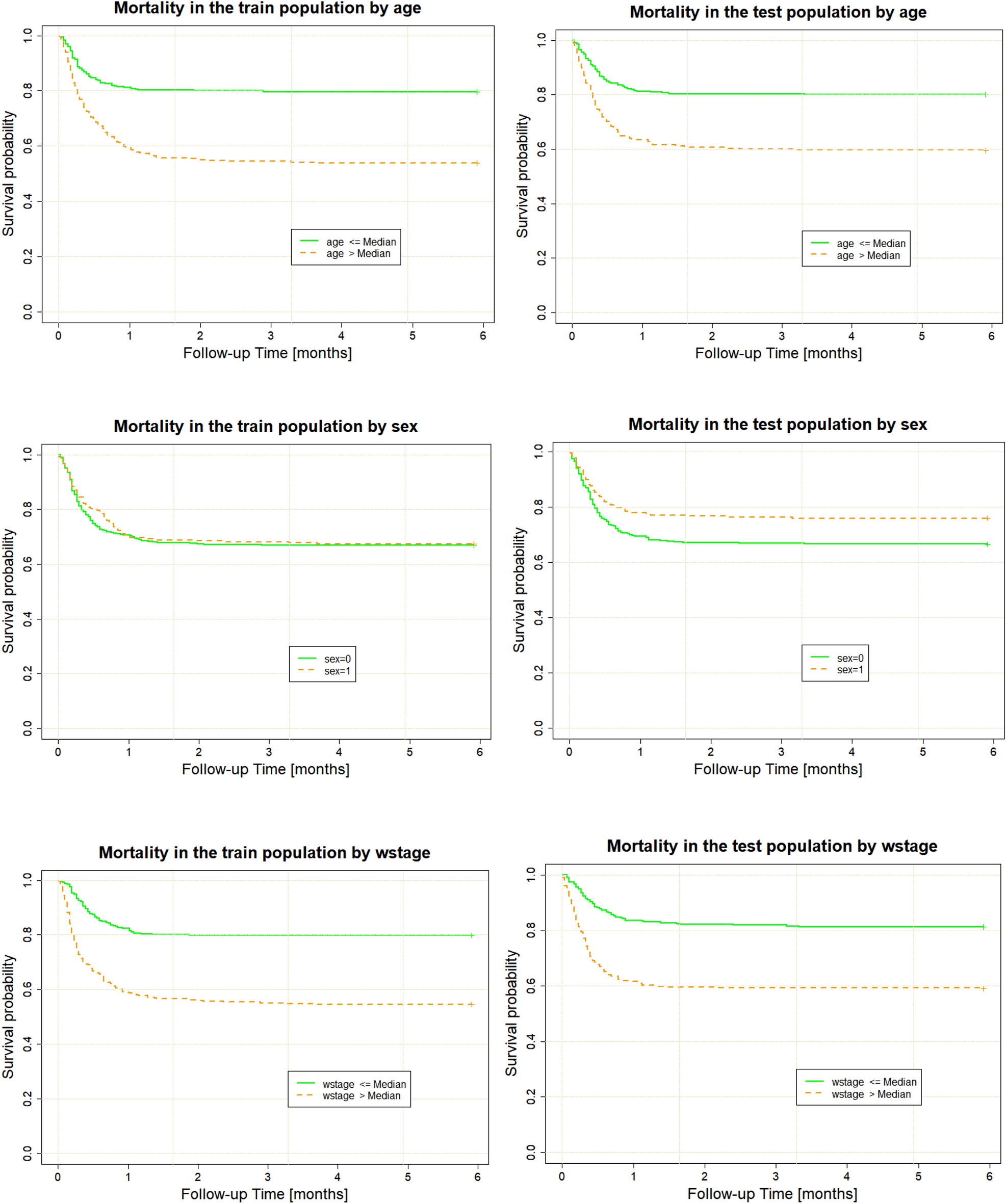
SuStaIn stage provides better discrimination for 6-month in-hospital mortality than age or sex (left—training population, right—validation population. wstage—weighted SuStaIn stage. sex 0—female, sex 1—male.