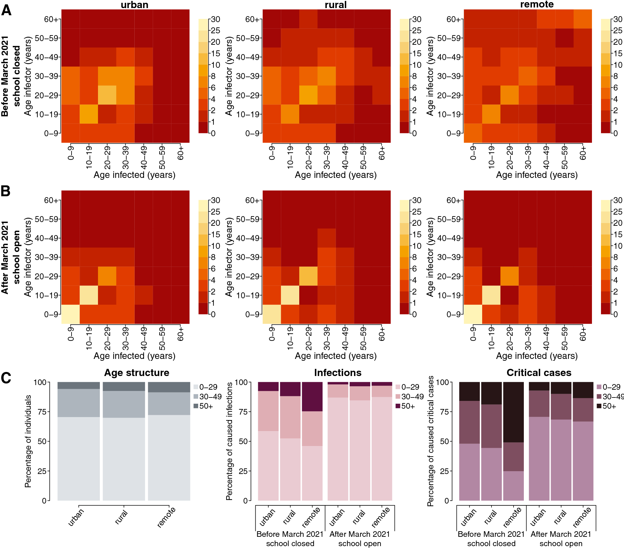
Figure 2
From: Priority age targets for COVID-19 vaccination in Ethiopia under limited vaccine supply

(A,B) Percentage of SARS-CoV-2 infections caused by contacts between susceptible individuals in the age group \(a\) (x axis) and infected individuals in the age group \(\widetilde{a}\) (y axis), as estimated by the model before and after March 2021 in urban neighborhoods, rural villages, and remote settlements. (C) Age distribution of the population residing in the three geographical contexts and bar plots of the overall proportion of infections and critical cases caused by infectors aged 0–29, 30–49, 50+ years.