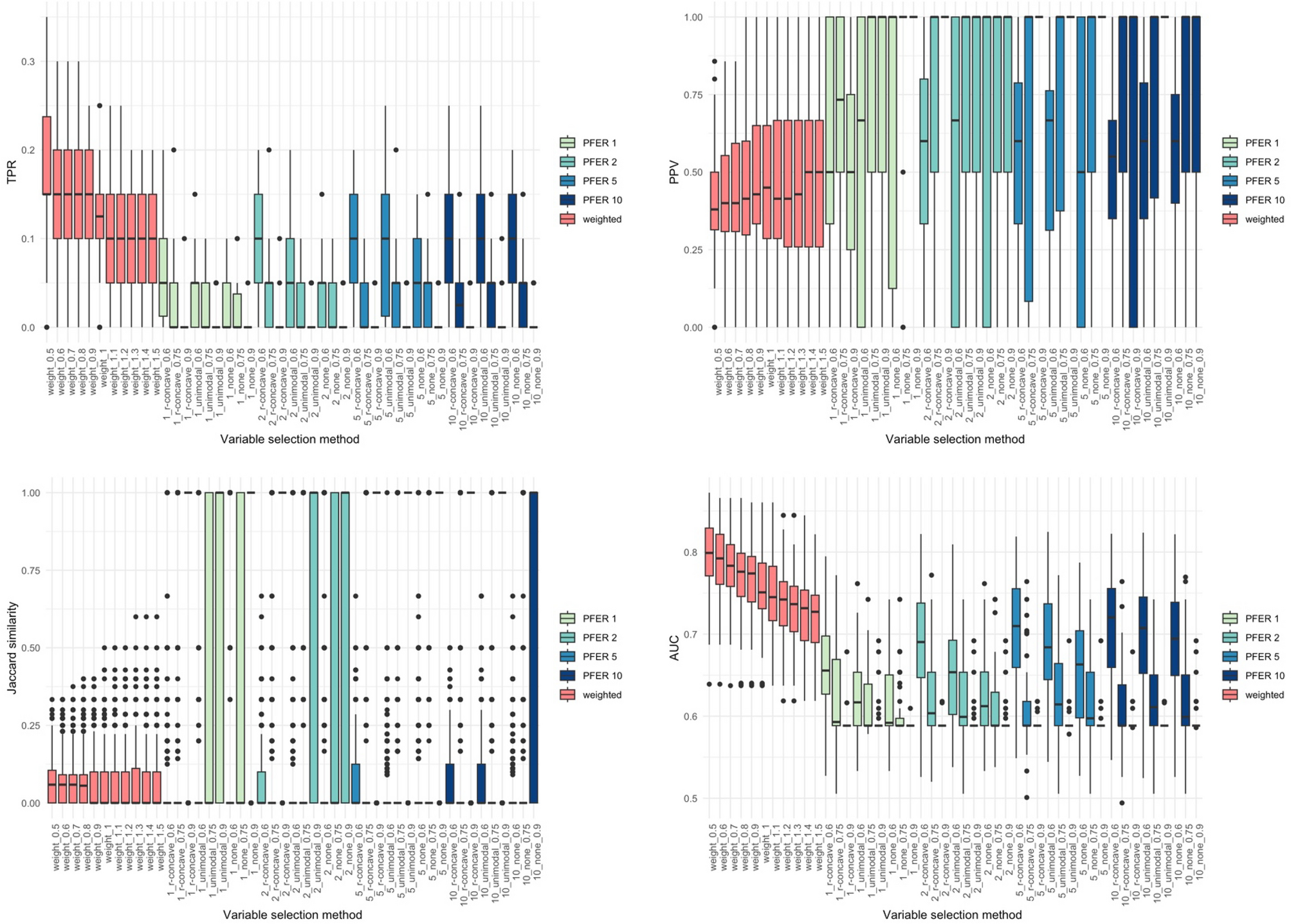
Figure 5
From: Stability selection for LASSO with weights based on AUC

Box plots of true positive rate (TPR), positive predictive value (PPV), stability index (Jaccard similarity coefficient) and the area under the receiver operating characteristic curve (AUC) of the weighted stability selection and the stability selection in scenario 4 (\(n=200\), \({\beta }_{j}\)’s of the signal variables \(\sim U(0.5,1.5)\)).