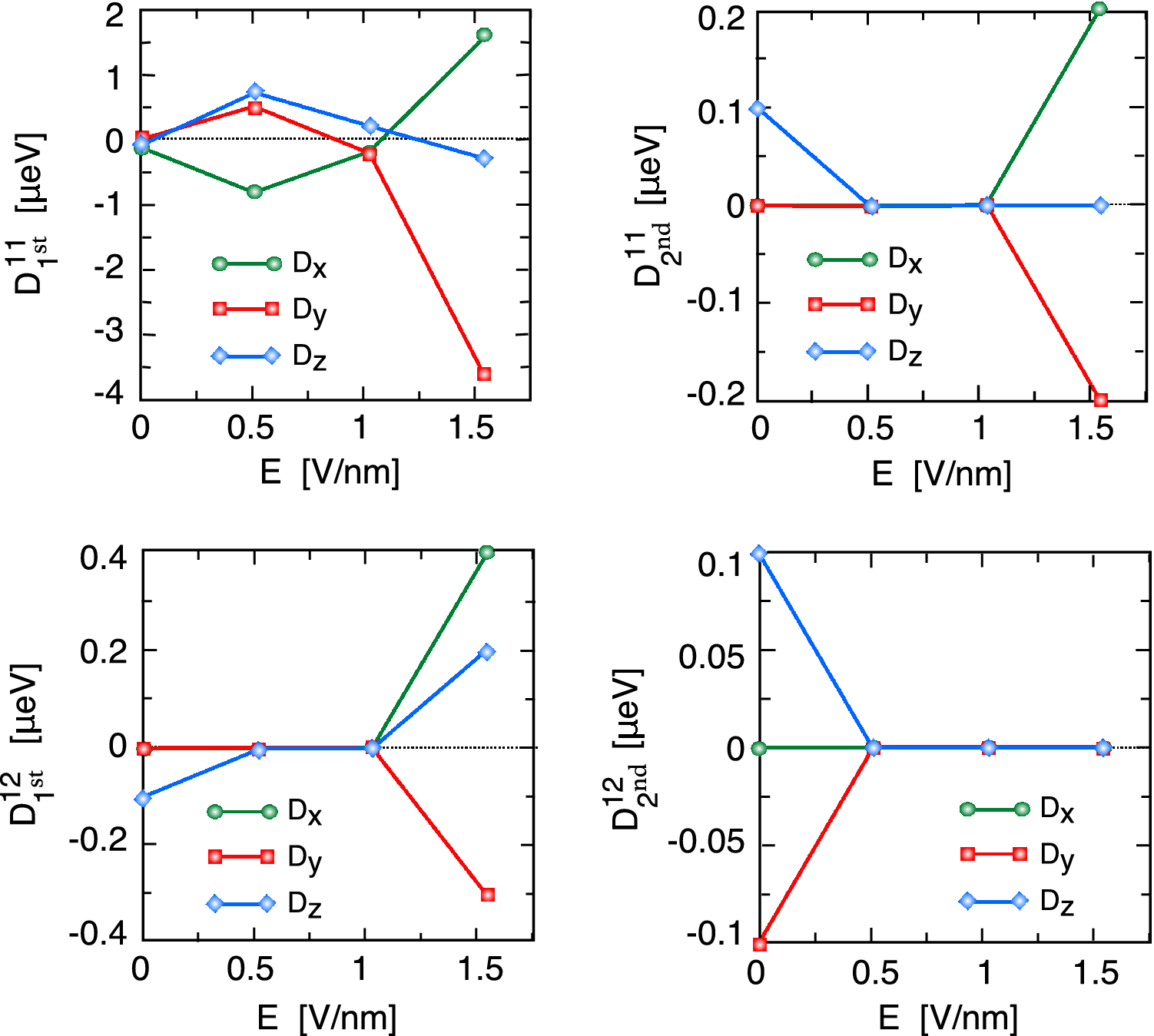
Figure 8

(Color online) First- (left) and second-neighbor (right) components of the intralayer (top panel) and interlayer (bottom panel) DMIs of bilayer CrCl\(_{3}\) as a function of electric field. In the presence of an electric field, the \(D_x\) and \(D_y\) components of the NNN intralayer DMI increase, while \(D_z\) decreases.