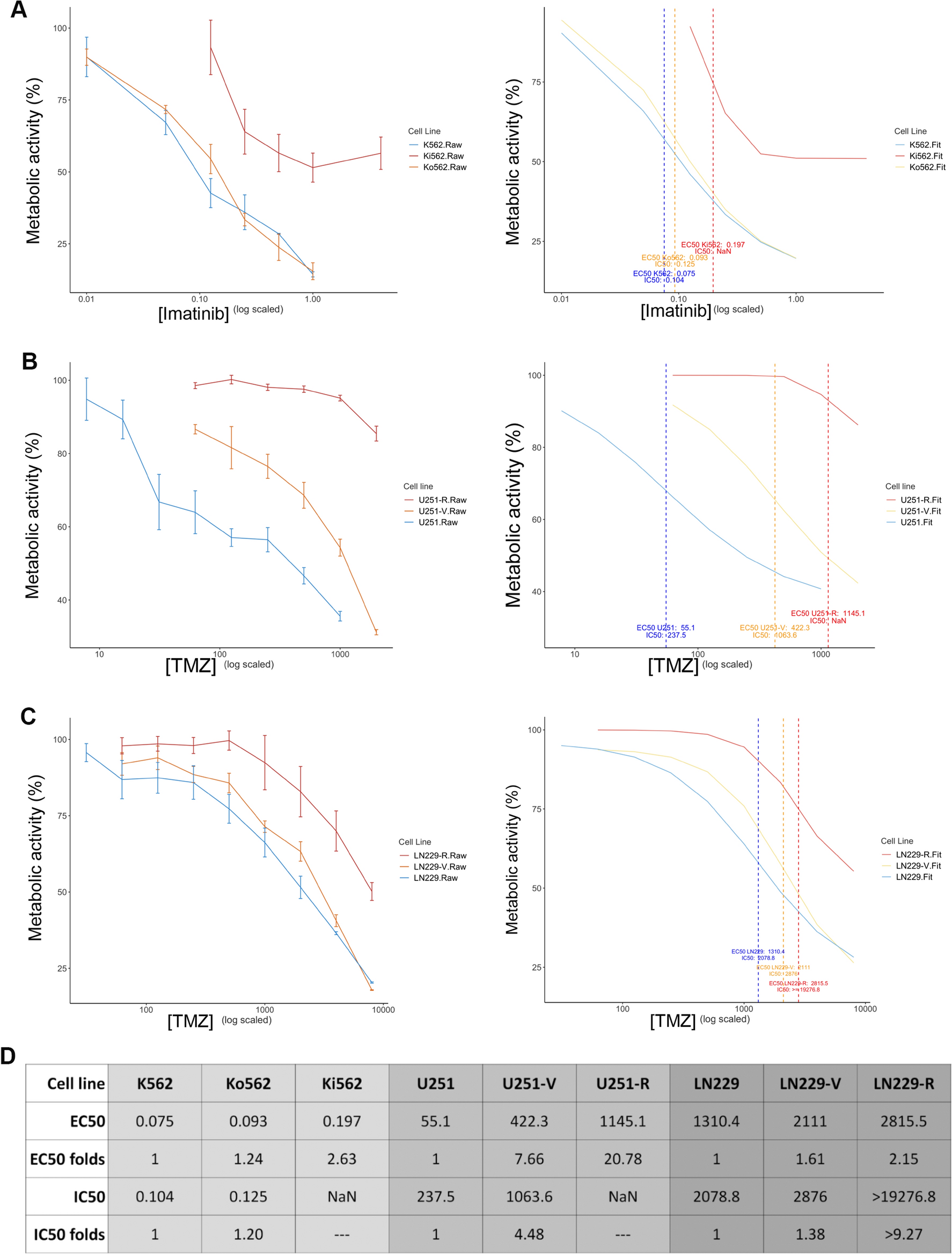
Figure 2

Effect of first-line drugs on metabolic activity. The different cell lines were treated with (A) RPMI-C or Imatinib (K562, Ko562, and Ki562), (B) DMEM-C or TMZ (U251, U251-V, and U251-R) or (C) DMEM-C or TMZ (LN229, LN229-V, and LN229-R) for 48 h (CML cells) or 72 h (GBM cells) and metabolic activity were evaluated by XTT assay. Left panel shows Raw data while right panel shows Fit data. (D) Comparison of the IC50 and EC50 obtained to each model. NaN stands for not a number, and the meaning is that the curve did not reach the 50% inhibition needed to compute de IC50.