Figure 3
From: Value of thyroid cancer history in the prognosis of pancreatic cancer: a SEER population-based study

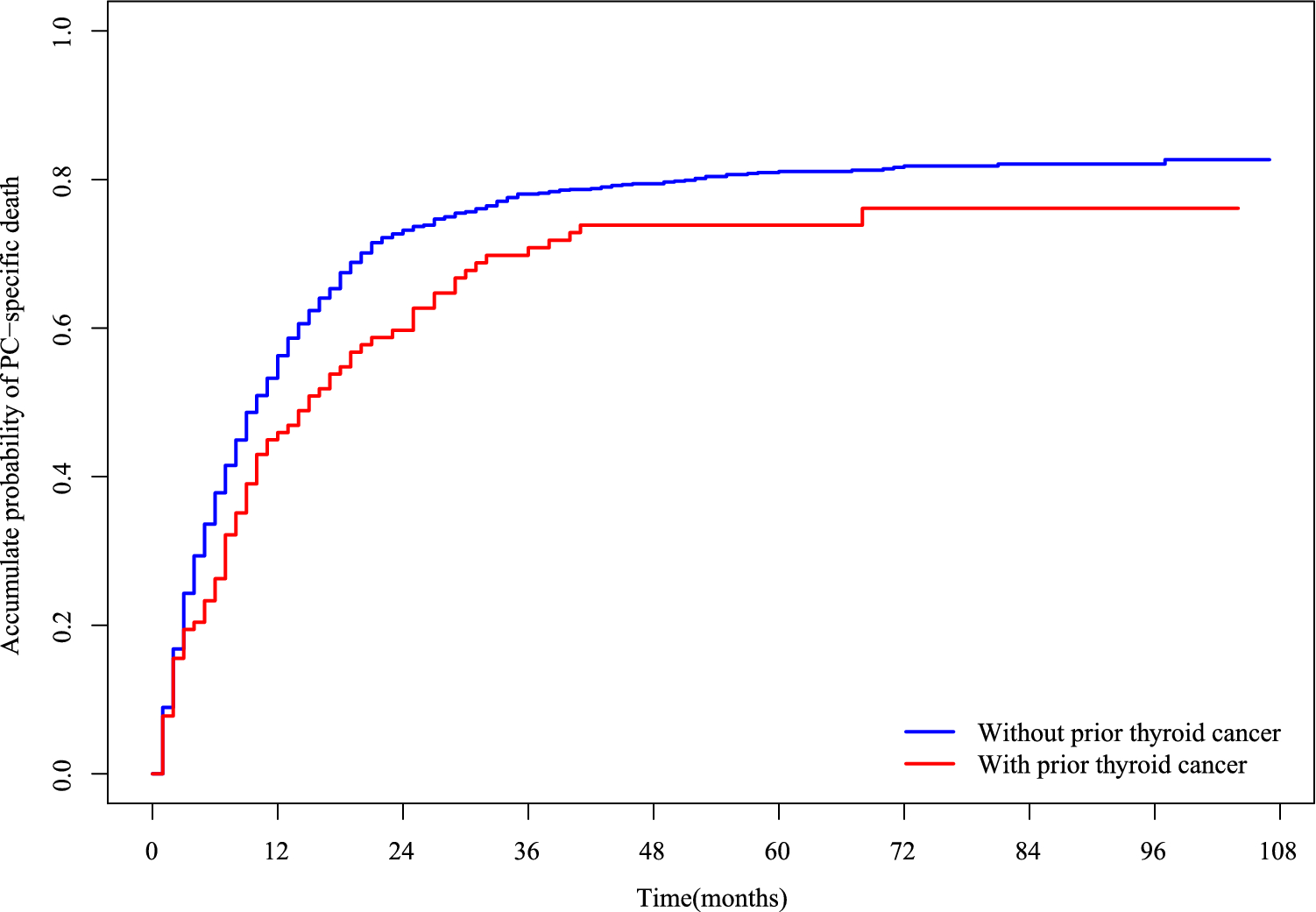
Cumulative incidence of PC-specific death in PC patients with and without prior thyroid cancer. PC pancreatic cancer.
From: Value of thyroid cancer history in the prognosis of pancreatic cancer: a SEER population-based study

Cumulative incidence of PC-specific death in PC patients with and without prior thyroid cancer. PC pancreatic cancer.