Figure 4
From: Value of thyroid cancer history in the prognosis of pancreatic cancer: a SEER population-based study

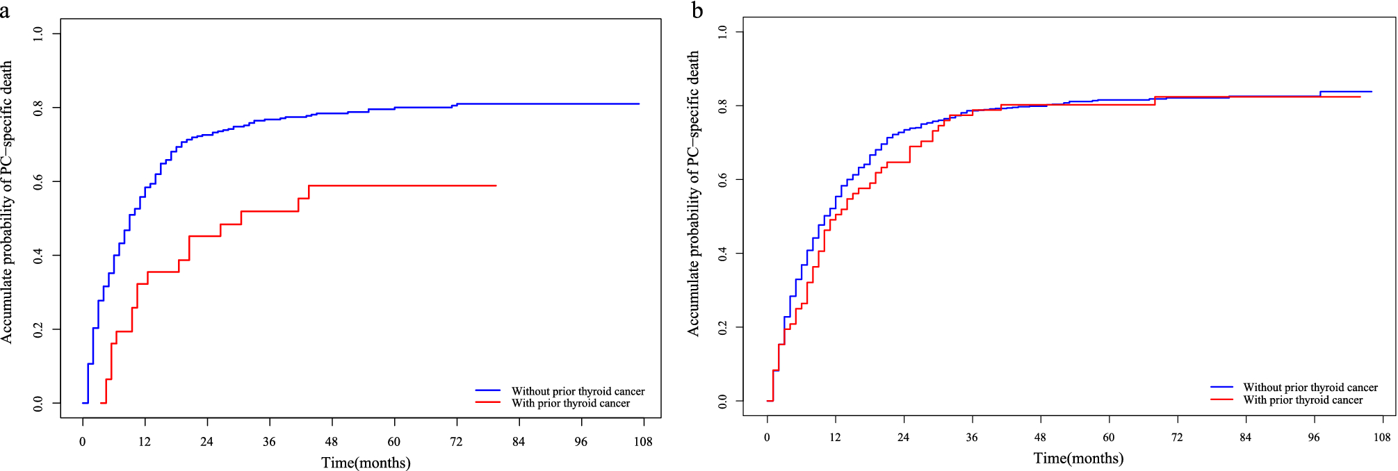
Cumulative incidence of PC-specific death between female and male PC patients with and without prior thyroid cancer. (a) Males. (b) Females. PC pancreatic cancer.