Figure 5
From: Single-particle properties of topological Wannier excitons in bismuth chalcogenide nanosheets

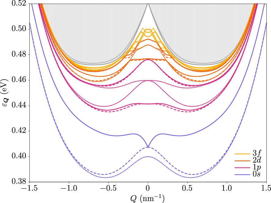
Excitonic dispersion relation for the Coulomb potential. All colors and line types are equivalent to their counterparts in Fig. 4.
From: Single-particle properties of topological Wannier excitons in bismuth chalcogenide nanosheets

Excitonic dispersion relation for the Coulomb potential. All colors and line types are equivalent to their counterparts in Fig. 4.