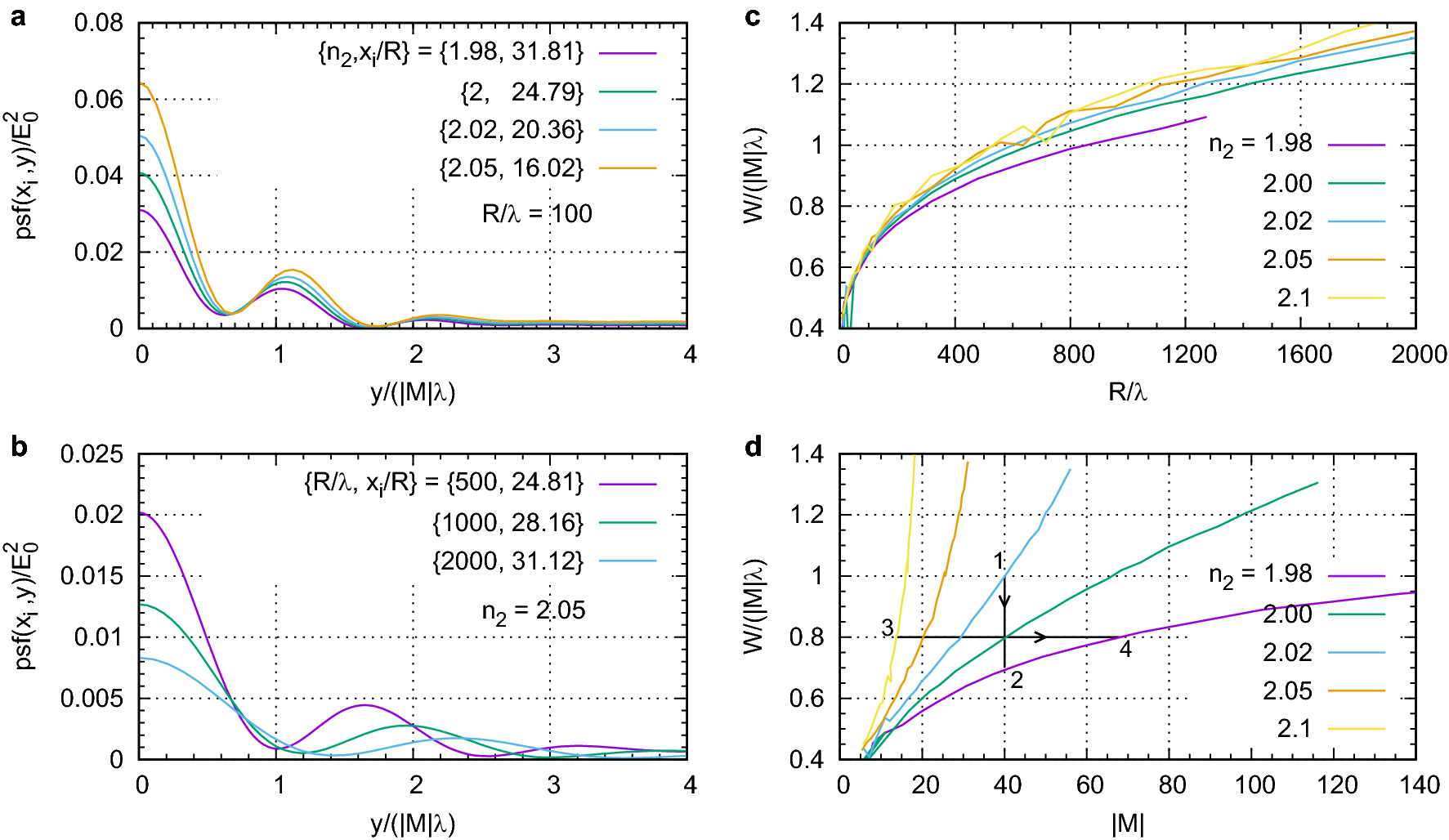
Figure 6

Resolution of ball lens imaging. (a) \({\text{psf}}(x_i,y)\) as a function of the transverse coordinate y at the positions \(x_i\) of the diffraction focus for several values of \(n_2\) and fixed \(R/\lambda \). (b) same as (a) but for several values of \(R/\lambda \) and fixed \(n_2\). (c) Resolution \(W/(|M|\lambda )\) as a function of \(R/\lambda \) for several values of \(n_2\). (d) Resolution \(W/(|M|\lambda )\) as a function of magnification \(|M|=x_i/R\) for several values of \(n_2\).