Figure 3
From: Comparative analysis of bacterial diversity in two hot springs in Hefei, China

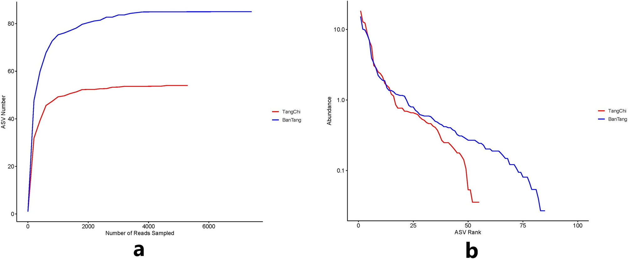
α-diversity comparison: (a) Rarefaction curve; (b) Rank abundance curve.
From: Comparative analysis of bacterial diversity in two hot springs in Hefei, China

α-diversity comparison: (a) Rarefaction curve; (b) Rank abundance curve.