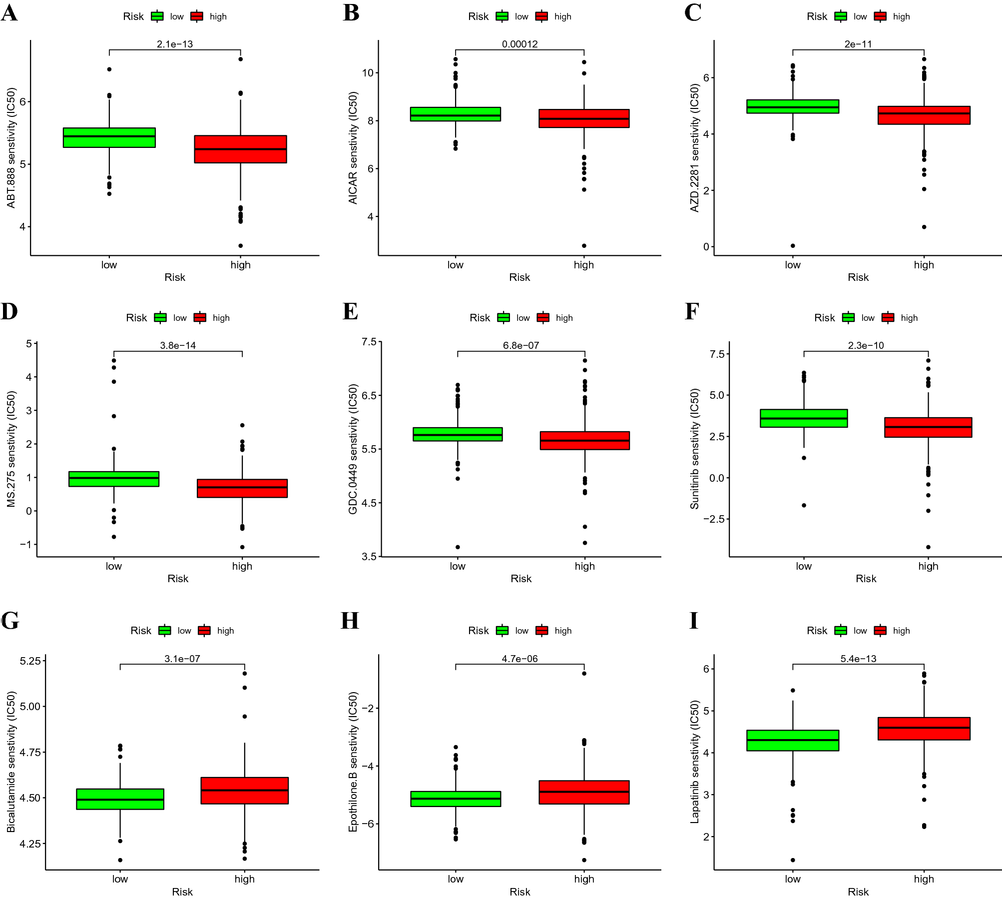
Figure 8

Comparison of drug sensitivity between high-risk and low-risk groups. The half-maximal inhibitory concentrations (IC50) of (A) ABT.888, (B) AICAR, (C) AZD.2281, (D) MS.275, (E) GDC.0449, (F) sunitinib, (G) bicalutamide, (H) epothilone B, and (I) lapatinib in high-risk and low-risk groups.