Figure 2
From: Quantification of bulk lipid species in human platelets and their thrombin-induced release

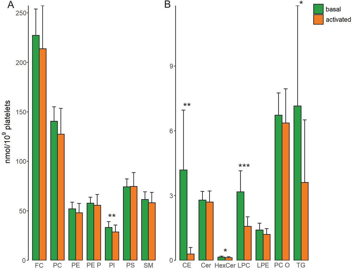
Lipid class concentrations of platelets. Displayed are sum concentrations of lipid classes of unstimulated (basal) and activated platelets upon thrombin stimulation for major (A) and minor (B) lipid classes. Mean and SD of 12 healthy human donors. *p < 0.05, **p < 0.01, ***p < 0.001.